Oblicz siła, o jakiej wartości wykonywała pracę.
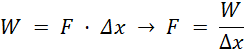
Praca fizyczna jest miarą energii potrzebnej, do przemieszczenia ciała o odległość Δx działając na ciało siłą F. Przekształć wzór definicji pracy, aby wyznaczyć wartość działającej siły.
Zadanie 6.1.
Zadanie 6.2.
Zadanie 6.3.
Zadanie 6.4.
Zadanie 6.5.
Podpunkt a)
Podpunkt b)
Zadanie 6.6.
Zadanie 6.7.
Podpunkt c)
Zadanie 6.8.
Zadanie 6.9.
Zadanie 6.10.
Zadanie 6.11.
Zadanie 6.12.
Zadanie 6.13.
Zadanie 6.14.
Zadanie 6.15.
Zadanie 6.16.
Zadanie 6.17.
Zadanie 6.18.
Zadanie 6.19.
Zadanie 6.20.
Zadanie 6.21.
Zadanie 6.22.
Zadanie 6.23.
Zadanie 6.24.
Zadanie 6.25.
Zadanie 6.26.
Zadanie 6.27.
Zadanie 6.28.
Zadanie 6.29.
Zadanie 6.30.
Zadanie 6.31.
Zadanie 6.32.
Zadanie 6.33.
Zadanie 6.34.
Zadanie 6.35.
Zadanie 6.36.
Zadanie 6.37.
Zadanie 6.38.
Zadanie 6.39.
Zadanie 6.40.
Zadanie 6.41.
Zadanie 6.42.
Zadanie 6.43.
Zadanie 6.44.
Zadanie 6.45.
Zadanie 6.46.
Zadanie 6.47.
Zadanie 6.48.