Oblicz masę chłopca.
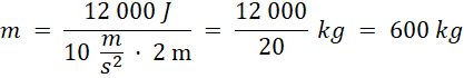
Chłopiec według obliczeń miał masę 600 kg.
Chłopiec wciągając się wykonał pracę równą zmianie swojej energii potencjalnej.
Przekształć tę równość, aby wyznaczyć masę chłopca.
Zadanie 6.1.
Zadanie 6.2.
Zadanie 6.3.
Zadanie 6.4.
Zadanie 6.5.
Podpunkt a)
Podpunkt b)
Zadanie 6.6.
Zadanie 6.7.
Podpunkt c)
Zadanie 6.8.
Zadanie 6.9.
Zadanie 6.10.
Zadanie 6.11.
Zadanie 6.12.
Zadanie 6.13.
Zadanie 6.14.
Zadanie 6.15.
Zadanie 6.16.
Zadanie 6.17.
Zadanie 6.18.
Zadanie 6.19.
Zadanie 6.20.
Zadanie 6.21.
Zadanie 6.22.
Zadanie 6.23.
Zadanie 6.24.
Zadanie 6.25.
Zadanie 6.26.
Zadanie 6.27.
Zadanie 6.28.
Zadanie 6.29.
Zadanie 6.30.
Zadanie 6.31.
Zadanie 6.32.
Zadanie 6.33.
Zadanie 6.34.
Zadanie 6.35.
Zadanie 6.36.
Zadanie 6.37.
Zadanie 6.38.
Zadanie 6.39.
Zadanie 6.40.
Zadanie 6.41.
Zadanie 6.42.
Zadanie 6.43.
Zadanie 6.44.
Zadanie 6.45.
Zadanie 6.46.
Zadanie 6.47.
Zadanie 6.48.