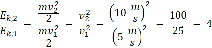
Oblicz, o ile wzrosła energia kinetyczna motocyklisty.
Energia kinetyczna motocyklisty wzrosła 4 razy.
Ponieważ motocyklista zwiększył prędkość, to jego energia kinetyczna wzrosła.
Zadanie 6.1.
Zadanie 6.2.
Zadanie 6.3.
Zadanie 6.4.
Zadanie 6.5.
Podpunkt a)
Podpunkt b)
Zadanie 6.6.
Zadanie 6.7.
Podpunkt c)
Zadanie 6.8.
Zadanie 6.9.
Zadanie 6.10.
Zadanie 6.11.
Zadanie 6.12.
Zadanie 6.13.
Zadanie 6.14.
Zadanie 6.15.
Zadanie 6.16.
Zadanie 6.17.
Zadanie 6.18.
Zadanie 6.19.
Zadanie 6.20.
Zadanie 6.21.
Zadanie 6.22.
Zadanie 6.23.
Zadanie 6.24.
Zadanie 6.25.
Zadanie 6.26.
Zadanie 6.27.
Zadanie 6.28.
Zadanie 6.29.
Zadanie 6.30.
Zadanie 6.31.
Zadanie 6.32.
Zadanie 6.33.
Zadanie 6.34.
Zadanie 6.35.
Zadanie 6.36.
Zadanie 6.37.
Zadanie 6.38.
Zadanie 6.39.
Zadanie 6.40.
Zadanie 6.41.
Zadanie 6.42.
Zadanie 6.43.
Zadanie 6.44.
Zadanie 6.45.
Zadanie 6.46.
Zadanie 6.47.
Zadanie 6.48.