1. Odmierz linijką pewną długość h, na jaką chcesz podnosić ciężarek.
2. Zamocuj jeden koniec nitki do ciężarka, a drugi do wału silniczka.
3. Uruchom silniczek i zmierz stoperem czas, w jakim ciężarek zostanie wciągnięty.
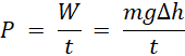
4. Oblicz moc silnika ze wzoru
Praca wykonywana przez silniczek jest równa zmianie energii potencjalne ciężarka.
Dla dokładniejszych pomiarów przyjmij wartość g = 9,81