Zadanie

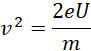
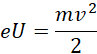
W tym podpunkcie musisz policzyć, jaką prędkość uzyskają elektrony w polu elektrostatycznym o obliczonym wcześniej napięciem.

Rozwiązanie

Wyjaśnienie

Zadania z tego działu
Elementy szczególnej teorii względności
107
Szybkość światła w różnych inercjalnych układach odniesienia
108
Zjawisko Dopplera dla fal elektromagnetycznych
112
Maksymalna szybkość przekazu informacji
117
Związek między energią i pędem cząstki. Energia i masa układu cząstek
129