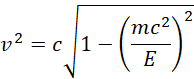
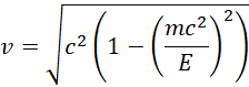
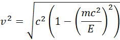
Użyj znanych ci wzorów i zależności aby wyprowadzić wzór wyrażający zależny od i .
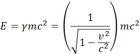
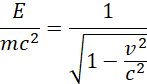
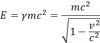
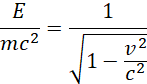
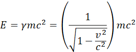
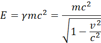
Dobrym wyborem do przekształcenia będzie wzór na energię relatywistyczną całkowitą:
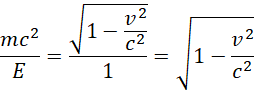
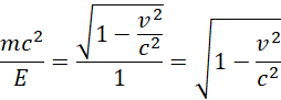
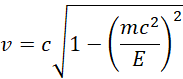
Odwróć wzór:
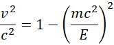
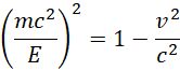
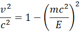
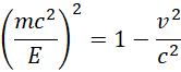
Podnieś obie strony równania do kwadratu:
Zadanie 1
Podpunkt a)
Podpunkt b)
Zadanie 2
Zadanie 3
Podpunkt c)
Pytanie 1
Zadanie 4
Zadanie 5
Zadanie 6
Zadanie 7
Zadanie 8
Pytanie 9
Zadanie 10
Zadanie 8.1
Zadanie 8.2
Zadanie 9.1
Zadanie 9.2
Zadanie 9.3