Prędkość samochodu:
Wysokość:
Energia kinetyczna rozpędzonego samochodu równa wykonanej pracy:
Energia potencjalna wtoczonego auta:
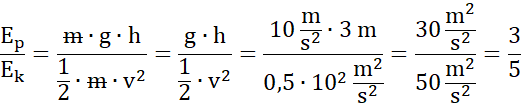
Stosunek tych energii:
Większej pracy wymaga rozpędzenie samochodu. Odpowiedź nie zależy od masy samochodu.
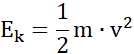
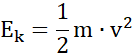
Wzór na energię kinetyczną ma postać:
gdzie
m – masa ciała [N]
v – prędkość [
Wzór na energię potencjalną ma postać:
gdzie
Q – ciężar ciała [N]
h – wysokość [m].
Odpowiedź nie zależy od masy samochodu, gdyż obie wielkości są zależne od masy.