Skul.pl
  • Opracowania zadań z podręczników
  • Sprawdziany Fizyka. Klasa 7-8. Zbiór zadań - rozwiązania i odpowiedzi
  • Zadanie 6

Sprawdziany Fizyka. Klasa 7-8. Zbiór zadań - rozwiązania i odpowiedzi

Zbiór zadań, Wydawnictwo: Dragon Edukacja
Poprzednie

Zadanie 6 - strona 23

Następne

Zadanie

W tym zadaniu musisz obliczyć masy, korzystając z danych podanych na wykresie i je ze sobą porównać.

Rozwiązanie

Odpowiedź A.

Skul

Wyjaśnienie

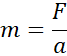
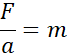
Z wykresów możemy odczytać wartości sił i przyspieszeń.

Musimy obliczyć masy ciał.

Wzór na siłę: F = a · m / dzielimy obie strony przez a

Możemy podstawić dane.

= = 0,5 kg

= = 0,8 kg

0,5 kg < 0,8 kg

<

Poprzednie
Następne

Fizyka - wybrane pytania

Zadanie 13.54., strona 185, Fizyka. Klasa 7-8. Zbiór zadań - rozwiązania i odpowiedzi
Zadanie 51.12., strona 186, Zbiór zadań z fizyki dla szkoły podstawowej. Klasa 7-8 - rozwiązania i odpowiedzi
Pytanie 25.3, strona 125, Fizyka. Klasa 4. Zakres rozszerzony. Zbiór zadań - rozwiązania i odpowiedzi
Zadanie 4., strona 48, Odkryć fizykę. Klasa 2. Podręcznik. Zakres podstawowy - rozwiązania i odpowiedzi
Zadanie 14.3.5, strona 235, Zrozumieć fizykę 3. Zakres rozszerzony. Zbiór zadań - rozwiązania i odpowiedz.
Zadanie 40.8., strona 149, Zbiór zadań z fizyki dla szkoły podstawowej. Klasa 7-8 - rozwiązania i odpowiedzi
Zadanie 33.7, strona 113, Fizyka. Klasa 2. Zakres rozszerzony. Zbiór zadań - rozwiązania i odpowiedzi
Zadanie 3., strona 103, Fizyka. To jest fizyka. Klasa 8. Podręcznik - rozwiązania i odpowiedzi
Ćwiczenie 5., strona 98, Świat fizyki. Klasa 7. Zeszyt ćwiczeń - rozwiązania i odpowiedzi
Ćwiczenie 9.2., strona 125, Fizyka. Klasa 1-3. Zakres podstawowy. Zbiór zadań - rozwiązania i odpowiedzi
REKLAMA
Skul
Zadania z tego działu
5. Dynamika
22

Zadania przypisane do działu

Zadanie 1

22

Podpunkt 1.

22

Podpunkt 2.

22

Zadanie 2

22

Podpunkt 1.

22

Podpunkt 2.

22

Zadanie 3

22

Podpunkt 1.

22

Podpunkt 2.

22

Zadanie 4

22

Podpunkt 1.

22

Podpunkt 2.

22

Zadanie 5

23

Zadanie 6

23

Zadanie 7

23

Zadanie 8

24

Podpunkt 1.

24

Podpunkt 2.

24

Zadanie 9

24

Zadanie 10

24

Zadanie 11

25

Zadanie 12

25
Pełny spis treści
Skul
Artboard 1
Skul.pl
  • Napisz do nas
  • FAQ
  • Mapa Serwisu
  • Google Play
  • App Store

Korzystanie z portalu oznacza akceptację Regulaminu.
Polityka prywatności. Ustawienia preferencji. Copyright: INTERIA.PL 1999-2023 Wszystkie prawa zastrzeżone.