Skul.pl
  • Opracowania zadań z podręczników
  • Sprawdziany Fizyka. Klasa 7-8. Zbiór zadań - rozwiązania i odpowiedzi
  • Zadanie 9

Sprawdziany Fizyka. Klasa 7-8. Zbiór zadań - rozwiązania i odpowiedzi

Zbiór zadań, Wydawnictwo: Dragon Edukacja
Poprzednie

Zadanie 9 - strona 24

Następne

Zadanie

W tym zadaniu musisz obliczyć siłę i przyspieszenie na podstawie danych z tabeli.

Rozwiązanie

F [N]235
a [ ]81220

Skul

Wyjaśnienie

W pierwszym przypadku mamy podane siłę i przyspieszenie.

Możemy więc obliczyć masę.

m = ?

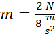
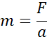
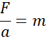
Wzór na siłę: F = a · m / dzielimy obie strony przez a

Możemy podstawić dane:

= 0,25 kg

Znając masę, możemy obliczyć brakujące dane w tabeli.

= 12

= ?

F = a · m

= 12 · 0,25 kg = 3 N

=

Poprzednie
Następne

Fizyka - wybrane pytania

Zadanie 10, strona 120, Spotkania z fizyką. Klasa 8. Zeszyt ćwiczeń - rozwiązania i odpowiedzi
Zadanie 2, strona 69, Spotkania z fizyką. Klasa 8. Zeszyt ćwiczeń - rozwiązania i odpowiedzi
Ćwiczenie 9.19., strona 19, Świat fizyki. Klasa 8. Zbiór zadań - rozwiązania i odpowiedzi
Zadanie 4., strona 114, Fizyka. Klasa 1. Podręcznik. Zakres podstawowy - rozwiązania i odpowiedzi
Zadanie 4., strona 107, Fizyka. Klasa 7. Podręcznik - rozwiązania i odpowiedzi
Zadanie 10., strona 208, Fizyka. Klasa 7-8. Zbiór zadań - rozwiązania i odpowiedzi
Zadanie 7.2, strona 48, Fizyka. Klasa 4. Zakres rozszerzony. Zbiór zadań - rozwiązania i odpowiedzi
Zadanie 45.2., strona 166, Zbiór zadań z fizyki dla szkoły podstawowej. Klasa 7-8 - rozwiązania i odpowiedzi
Ćwiczenie 30.5, strona 140, Fizyka. Klasa 3. Zakres rozszerzony. Zbiór zadań - rozwiązania i odpowiedzi
Zadanie To trzeba umieć 3., strona 234, Odkryć fizykę. Klasa 3. Zakres podstawowy. Podręcznik - rozwiązania i odpowiedzi
REKLAMA
Skul
Zadania z tego działu
5. Dynamika
22

Zadania przypisane do działu

Zadanie 1

22

Podpunkt 1.

22

Podpunkt 2.

22

Zadanie 2

22

Podpunkt 1.

22

Podpunkt 2.

22

Zadanie 3

22

Podpunkt 1.

22

Podpunkt 2.

22

Zadanie 4

22

Podpunkt 1.

22

Podpunkt 2.

22

Zadanie 5

23

Zadanie 6

23

Zadanie 7

23

Zadanie 8

24

Podpunkt 1.

24

Podpunkt 2.

24

Zadanie 9

24

Zadanie 10

24

Zadanie 11

25

Zadanie 12

25
Pełny spis treści
Skul
Artboard 1
Skul.pl
  • Napisz do nas
  • FAQ
  • Mapa Serwisu
  • Google Play
  • App Store

Korzystanie z portalu oznacza akceptację Regulaminu.
Polityka prywatności. Ustawienia preferencji. Copyright: INTERIA.PL 1999-2023 Wszystkie prawa zastrzeżone.