Zaznacz na wykresie wysokość Mount Everestu.
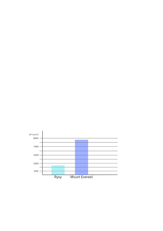
Wysokość Mount Everestu wynosi 8848 m n.p.m.
Wysokość Rysów wynosi 2499 m n.p.m. (po polskiej stronie).
Ćwiczenie 1
Ćwiczenie 2
Ćwiczenie 3
Podpunkt a)
Podpunkt b)
Ćwiczenie 4
Ćwiczenie 5
Ćwiczenie 6
Podpunkt c)
Ćwiczenie 7
Ćwiczenie 8
Ćwiczenie 1.
Ćwiczenie 2.