Domaluj na rysunku kropki, kółka, krzyżyki, by pola stanowiły odpowiednią część figury.
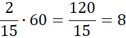
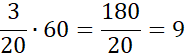
Mamy 60 pól, dlatego żeby policzyć, ile pól zajmie dana figura, to musimy pomnożyć ułamek przez 60.
Ćwiczenie 1.
Podpunkt a)
Podpunkt b)
Podpunkt c)
Podpunkt d)
Podpunkt e)
Podpunkt f)
Ćwiczenie 2.
Ćwiczenie 3.
Ćwiczenie 4.
Podpunkt g)
Podpunkt h)
Podpunkt i)
Ćwiczenie 5.
Ćwiczenie 6.
Ćwiczenie 7.