Wypełnij brakujące komórki tabeli.
| A | 23 cm | 35 m | 5 cm |
| 12 m | |
| b | 27 cm | 25 m | 2 cm | 3 m | 12 m |
|
| Obwód równoległoboku o bokach długości a i b | 100 cm | 120 m | 14 cm | 15 m | 48 m |
|
| a | 7 cm |
| 20 dm | 55 m |
|
|
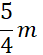
| Obwód rombu o boku długości a | 28 cm | 15 m | 80 dm | 220 m |
|
Obwód równoległoboku o bokach a i b wynosi:
Obwód pierwszego równoległoboku wynosi:
Obwód drugiego równoległoboku wynosi:
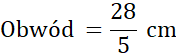
Obwód trzeciego równoległoboku wynosi 14 cm, a bok 2 cm:
Odejmij 4 cm:
Podziel przez 2:
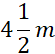
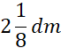
Obwód czwartego równoległoboku wynosi 15 m, a bok 4 ½ m:
Odejmij 9 metrów:
Podziel przez 2:
Obwód piątego równoległoboku wynosi 48 m, a bok 12 m:
Odejmij 24 m:
Podziel przez 2:
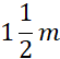
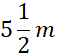
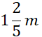
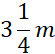
Obwód szóstego równoległoboku wynosi 5 ½ m, a bok 1 ½ m:
Obwód rombu o boku a możemy policzyć ze wzoru:
Obwód pierwszego rombu:
Obwód drugiego rombu:
Obwód trzeciego rombu wynosi 80 dm, dlatego:
Obwód czwartego rombu:
Obwód piątego rombu:
Obwód szóstego rombu wynosi 80 dm:
Ćwiczenie 6.
4Ćwiczenie 7.
5Ćwiczenie 13.
6Ćwiczenie 6.
8Ćwiczenie 1.
11Ćwiczenie 2.
11Ćwiczenie 3.
11Ćwiczenie 4.
12Ćwiczenie 2.
13Ćwiczenie 4.
14Ćwiczenie 8.
15Ćwiczenie 11.
16Ćwiczenie 12.
16Ćwiczenie 13.
16Ćwiczenie 1.
20Ćwiczenie 2.
20Ćwiczenie 3.
21Ćwiczenie 4.
21Ćwiczenie 5.
21Ćwiczenie 1.
22Ćwiczenie 2.
22Ćwiczenie 1.
24Ćwiczenie 4.
25Ćwiczenie 5.
25Ćwiczenie 7.
26Ćwiczenie 9.
26Ćwiczenie 10.
27Ćwiczenie 8.
30Ćwiczenie 9.
30Ćwiczenie 10.
30Ćwiczenie 12.
31Ćwiczenie 2.
33Ćwiczenie 5.
34Ćwiczenie 1.
36Ćwiczenie 2.
36Ćwiczenie 5.
38Ćwiczenie 6.
38Ćwiczenie 3.
39Ćwiczenie 5.
40Ćwiczenie 4.
41Ćwiczenie 5.
42Ćwiczenie 9.
43