Uzupełnij tabelki z długościami boków trójkąta i ich obwodami.
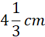
Długość boku trójkąta równobocznego | 11 cm | ![]() | 3 cm | 20 m | x | ![]() |
Obwód trójkąta równobocznego | 33 cm | 13 cm | 9 cm | 60 m | 3x | ![]() |
Długość podstawy trójkąta równoramiennego | 2 cm | 1 m | 4 m | 10 cm | x | y |
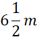
Długość ramienia trójkąta równoramiennego | 4 cm | ![]() | 6 m | 25 cm | y | x |
Obwód trójkąta równoramiennego | 10 cm | 14 m | 16 m | 60 cm | x+2y | y+2x |
Obwód trójkąta równobocznego o boku a obliczamy ze wzoru:
Obwód pierwszego trójkąta równobocznego:
Obwód drugiego trójkąta równobocznego:
Obwód trzeciego trójkąta równobocznego:
Podziel przez 3:
Obwód czwartego trójkąta równobocznego:
Podziel przez 3:
Obwód piątego trójkąta równobocznego:
Obwód ostatniego trójkąta równobocznego:
Podziel przez 3:
Obwód trójkąta równoramiennego o podstawie a i ramieniu b obliczamy ze wzoru:
Obwód pierwszego trójkąta równoramiennego:
Obwód drugiego trójkąta równoramiennego:
Obwód trzeciego trójkąta równoramiennego:
Obwód czwartego trójkąta równoramiennego:
Odejmij 10 cm:
Podziel przez 2:
Obwód piątego trójkąta równoramiennego:
Obwód szóstego trójkąta równoramiennego:
Ćwiczenie 6.
4Ćwiczenie 7.
5Ćwiczenie 13.
6Ćwiczenie 6.
8Ćwiczenie 1.
11Ćwiczenie 2.
11Ćwiczenie 3.
11Ćwiczenie 4.
12Ćwiczenie 2.
13Ćwiczenie 4.
14Ćwiczenie 8.
15Ćwiczenie 11.
16Ćwiczenie 12.
16Ćwiczenie 13.
16Ćwiczenie 1.
20Ćwiczenie 2.
20Ćwiczenie 3.
21Ćwiczenie 4.
21Ćwiczenie 5.
21Ćwiczenie 1.
22Ćwiczenie 2.
22Ćwiczenie 1.
24Ćwiczenie 4.
25Ćwiczenie 5.
25Ćwiczenie 7.
26Ćwiczenie 9.
26Ćwiczenie 10.
27Ćwiczenie 8.
30Ćwiczenie 9.
30Ćwiczenie 10.
30Ćwiczenie 12.
31Ćwiczenie 2.
33Ćwiczenie 5.
34Ćwiczenie 1.
36Ćwiczenie 2.
36Ćwiczenie 5.
38Ćwiczenie 6.
38Ćwiczenie 3.
39Ćwiczenie 5.
40Ćwiczenie 4.
41Ćwiczenie 5.
42Ćwiczenie 9.
43