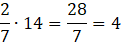
W tym zadaniu musisz pomnożyć liczby
Skorzystaj z tego, że wyrażenie „
Ćwiczenie 1.
91Ćwiczenie 5.
91Ćwiczenie 6.
91Ćwiczenie 8.
92Ćwiczenie 9.
92Ćwiczenie 10.
92Ćwiczenie 11.
92Zadanie sprawdzające 2.
92Ćwiczenie 8.
95Zadanie sprawdzające 5.
95Ćwiczenie 1.
98Ćwiczenie 3.
98Zadanie sprawdzające 1.
98Zadanie sprawdzające 2.
98Ćwiczenie 1.
100Ćwiczenie 2.
100Ćwiczenie 3.
100Ćwiczenie 8.
101Ćwiczenie 12.
102Zadanie sprawdzające 1.
102Ćwiczenie 1.
104Ćwiczenie 2.
104Ćwiczenie 8.
105Ćwiczenie 9.
106Ćwiczenie 10.
106Ćwiczenie z ciekawostką 1.
106Zadanie sprawdzające 1.
107Ćwiczenie 1.
109Ćwiczenie 2.
109Ćwiczenie 7.
110Ćwiczenie 8.
110Zadanie sprawdzające 1.
110Zadanie sprawdzające 5.
110Ćwiczenie 3.
112Ćwiczenie 4.
112Ćwiczenie 5.
112Zadanie sprawdzające 1.
113Ćwiczenie 1.
116Ćwiczenie 2.
116Ćwiczenie 3.
116Ćwiczenie 4.
117Ćwiczenie 7.
117Ćwiczenie 9.
117Zadanie sprawdzające 1.
118Ćwiczenie 1.
120Ćwiczenie 2.
120Ćwiczenie 3.
120Zadanie wyzwanie 1.
121Ćwiczenie 1.
123Ćwiczenie 6.
123Ćwiczenie 7.
123Ćwiczenie 8.
124Zadanie sprawdzające 1.
124Ćwiczenie 1.
125Ćwiczenie 2.
125Ćwiczenie 3.
125Ćwiczenie 8.
125Ćwiczenie 9.
125Ćwiczenie 11.
126Ćwiczenie 14.
126