W tym zadaniu musisz udowodnić twierdzenie.
W sposobie opisanym w przykładzie wyznaczono punkt znajdujący się na ramieniu kąta, a następnie posłużono się definicjami funkcji trygonometrycznych dla kąta w położeniu standardowym.
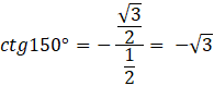
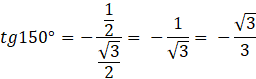
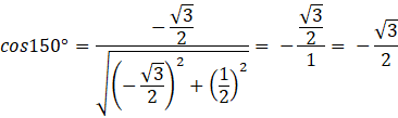
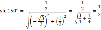
Aby wyznaczyć współrzędne punktu znajdującego się na ramieniu kąta o mierze 150
Ćwiczenie 3
241Ćwiczenie 4
241Ćwiczenie 5
241Ćwiczenie 7
242Ćwiczenie 9
243Zadanie 1
244Zadanie 2
244Zadanie 3
244Ćwiczenie 2
248Ćwiczenie 5
250Zadanie 1
250Zadanie 2
251Zadanie 3
251Zadanie 4
251Zadanie 5
251Zadanie 6
251Zadanie 7
251Zadanie 8
251Zadanie 1
256Zadanie 2
256Zadanie 3
257Zadanie 4
257Zadanie 9
257Ćwiczenie 4
262Zadanie 1
262Zadanie 2
262Zadanie 3
262Zadanie 4
262Zadanie 5
262Zadanie 6
262Zadanie 7
262Ćwiczenie 1
265Ćwiczenie 2
267Ćwiczenie 3
268Zadanie 1
270Zadanie 2
270Zadanie 3
270Zadanie 4
270Zadanie 5
270Zadanie 6
270Zadanie 7
270Zadanie 1
285Zadanie 2
285Zadanie 3
285Zadanie 4
285Zadanie 5
285Zadanie 6
285Zadanie 7
285Zadanie 8
285Zadanie 9
285Zadanie 12
285Zadanie 11
288Zadanie 12
288Zadanie 18
288Zadanie 20
288Zadanie 24
289Zadanie 25
289Zadanie 26
289Zadanie 27
289Zadanie 28
289Zadanie 29
289