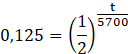
Przybliż wiek znaleziska, jeśli stosunek ilości izotopu węgla
Wiemy, że:
Odpowiedź: Przybliżony wiek znaleziska wynosi 17100 lat.
Korzystamy ze wzoru:
Zadanie 1.
284Zadanie 2.
284Zadanie 3.
284Zadanie 4.
284Zadanie 5.
284Zadanie 6.
284Zadanie 7.
284Zadanie 8.
284Ćwiczenie 2.
286Ćwiczenie 3.
286Ćwiczenie 4.
286Zadanie 1.
287Zadanie 2.
287Zadanie 3.
287Zadanie 4.
287Zadanie 5.
287Zadanie 6.
287Zadanie 7.
287Ćwiczenie 2.
288Ćwiczenie 3.
289Ćwiczenie 5.
290Zadanie 1.
290Zadanie 2.
290Zadanie 3.
290Zadanie 4.
290Zadanie 5.
290Zadanie 6.
290Zadanie 7.
291Zadanie 8.
291Zadanie 9.
291Zadanie 10.
291Ćwiczenie 1.
292Ćwiczenie 2.
292Ćwiczenie 3.
292Ćwiczenie 4.
292Ćwiczenie 5.
293Zadanie 1.
293Zadanie 3.
293Zadanie 4.
293Zadanie 5.
293Zadanie 6.
293Zadanie 7.
293Zadanie 8.
293Ćwiczenie 1.
294Ćwiczenie 2.
294Ćwiczenie 3.
294Zadanie 1.
295Zadanie 3.
295Zadanie 4.
295Zadanie 5.
295Zadanie 6.
295Zadanie 8.
295Ćwiczenie 1.
296Ćwiczenie 2.
296Ćwiczenie 3.
297Ćwiczenie 4.
298Ćwiczenie 5.
298Zadanie 1.
298Zadanie 2.
298Zadanie 3.
298Zadanie 4.
298Zadanie 7.
298Ćwiczenie 1.
299Ćwiczenie 2.
299Ćwiczenie 3.
300Ćwiczenie 4.
300Ćwiczenie 5.
300Zadanie 1.
301Zadanie 2.
301Zadanie 3.
301Zadanie 4.
301Zadanie 5.
301Zadanie 6.
301Zadanie 7.
301Zadanie 8.
301Zadanie 9.
301Ćwiczenie 2.
302Ćwiczenie 3.
303Ćwiczenie 4.
303Ćwiczenie 5.
303Zadanie 1.
304Zadanie 2.
304Zadanie 3.
304Zadanie 4.
304Zadanie 5.
304Zadanie 6.
304Zadanie 7.
304Zadanie 8.
304Ćwiczenie 2.
305Ćwiczenie 3.
305Ćwiczenie 4.
306Ćwiczenie 5.
307Ćwiczenie 6.
307Ćwiczenie 7.
307Zadanie 1.
307Zadanie 2.
307Zadanie 3.
307Zadanie 4.
307Zadanie 5.
307Zadanie 6.
308Zadanie 7.
308Zadanie 8.
308Zadanie 9.
308Zadanie 10.
308Zadanie 11.
308Ćwiczenie 1.
309Ćwiczenie 2.
310Ćwiczenie 3.
310Ćwiczenie 4.
311Ćwiczenie 5.
311Ćwiczenie 6.
311Zadanie 1.
312Zadanie 2.
312Zadanie 3.
312Zadanie 4.
312Zadanie 5.
312Zadanie 6.
312Zadanie 7.
312Zadanie 8.
312Zadanie 9.
312Zadanie 10.
312Ćwiczenie 1.
314Ćwiczenie 2.
314Ćwiczenie 3.
315Ćwiczenie 5.
315Zadanie 1.
315Zadanie 2.
315Zadanie 3.
315Zadanie 4.
316Zadanie 5.
316Zadanie 6.
316Zadanie 7.
316Zadanie 8.
316Zadanie 9.
316Zadanie 10.
316Zadanie 11.
316Ćwiczenie 2.
318Ćwiczenie 4.
318Zadanie 1.
319Zadanie 3.
319Zadanie 5.
319Zadanie 1.
320Zadanie 2.
320Zadanie 3.
320Zadanie 4.
320Zadanie 5.
320Zadanie 6.
320Zadanie 7.
321Zadanie 8.
321Zadanie 9.
321Zadanie 10.
321Zadanie 11.
321Zadanie 12.
322Zadanie 13.
322Zadanie 14.
322Zadanie 15.
322Zadanie 16.
322Zadanie 17.
322Zadanie 18.
322Zadanie 19.
323Zadanie 20.
323Zadanie 21.
323Zadanie 22.
323Zadanie 23.
323Zadanie 1.
324Zadanie 2.
324Zadanie 3.
324Zadanie 4.
324Zadanie 5.
324Zadanie 6.
324Zadanie 7.
324Zadanie 8.
324Zadanie 9.
324Zadanie 10.
325Zadanie 11.
325Zadanie 12.
325Zadanie 1.
325Zadanie 2.
325Zadanie 3.
325Zadanie 4.
325Zadanie 5.
325Zadanie 6.
325Zadanie 7.
325Zadanie 8.
326Zadanie 9.
326Zadanie 10.
326Zadanie 11.
326Zadanie 12.
326Zadanie 13.
326Zadanie 14.
326Zadanie 15.
326Zadanie 16.
326Zadanie 17.
326Zadanie 18.
326Zadanie 19.
326Zadanie 2.
330Zadanie 5.
330