W tym zadaniu musisz rozwiązać podane równania i odpowiednio uzupełnić tabelkę.
| Litera oznaczająca niewiadomą | F | r | a | n | c | o | i | s | V | i | e | t | e |
| Rozwiązanie równania | 50 | 0 | 8 | 20 | –2 | –15 | 1,5 | –2 | 1 | 4 | 1 |
Wymagane obliczenia:
13 – v = 11,5
–v = 11,5 – 13
–v = –1,5
v = 1,5
4 + i = 2
i = 2 – 4
i = – 2
–5a = 0
a = 0
15t = 60
t = 60 : 15
t = 4
F = 25
F = 50
r – 1
r = 2 + 1
r = 3
56 : 7 = n
n = 8
110 = c + 90
c = 110 – 90
c = 20
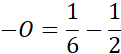
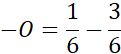
40 = 25 – s
40 – 25 = –s
s = –15
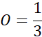
0,35e = 0,35
e = 0,35 : 0,35
e = 1
Ćwiczenie 3.
73Ćwiczenie 8.
74Ćwiczenie 9.
74Ćwiczenie 10.
75Ćwiczenie 11.
75Ćwiczenie 12.
75Ćwiczenie 14.
75Ćwiczenie 15.
76Ćwiczenie 17.
76Ćwiczenie 18.
77Ćwiczenie 20.
77Ćwiczenie 21.
77Ćwiczenie 2.
78Ćwiczenie 1.
79Ćwiczenie 2.
79Ćwiczenie 4.
79Ćwiczenie 5.
79Ćwiczenie 9.
80Ćwiczenie 11.
81Ćwiczenie 4.
83Ćwiczenie 5.
83Ćwiczenie 4.
84Ćwiczenie 5.
84Ćwiczenie 9
85Ćwiczenie 2.
86Ćwiczenie 3.
86Ćwiczenie 8.
87Ćwiczenie 10.
88Ćwiczenie 12.
88Ćwiczenie 2.
93Ćwiczenie 3.
93Ćwiczenie 4.
93Ćwiczenie 5.
94Ćwiczenie 6.
94