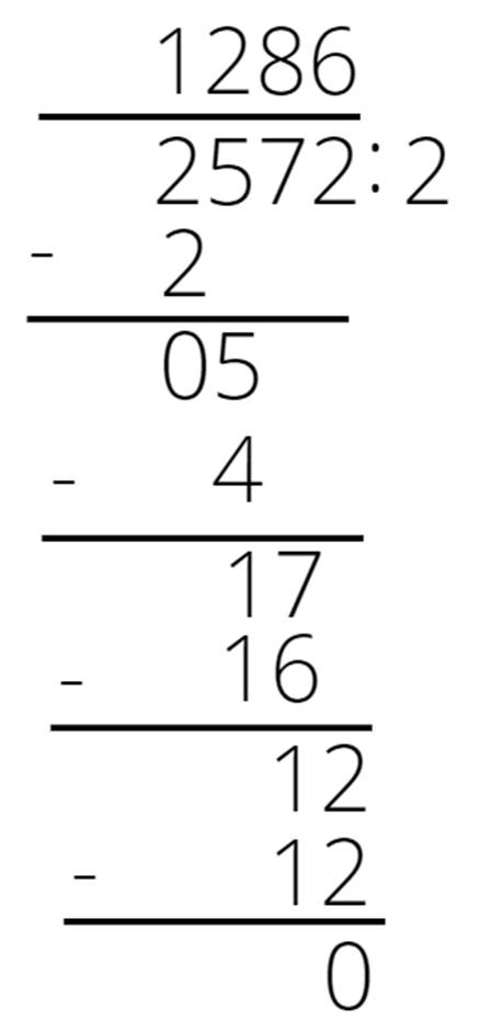
Policz sposobem pisemnym.
Sprawdź, ile razy mieści się pierwsza cyfra w dzielniku. Jeśli cyfra się nie mieści, to dobierz kolejną cyfrę z dzielnej i podziel przez liczbę dwucyfrową. Wynik zapisz nad kreską nad naszą liczbą. Pomnóż zapisaną liczbę przez dzielnik i zapisz wynik pod liczbą. Zapisz pod tą liczbą kreskę i odejmij powyższe dwie liczby. Do uzyskanego wyniku dopisz kolejną cyfrę dzielnej i znowu sprawdź, ile razy mieści się powstała liczba w dzielniku. Wynik zapisz nad kreską nad naszą liczbą. Pomnóż zapisaną liczbę przez dzielnik i zapisz wynik pod drugą cyfrą. Zapisz pod tą liczbą kreskę i odejmij powyższe dwie liczby. Postępuj podobnie z ostatnimi cyframi.
Zadanie Wprowadzające 1
172Zadanie Wprowadzające 2
173Zadanie Wprowadzające 3
173Ćwiczenie 1
174Ćwiczenie 2.
174Ćwiczenie 3.
174Ćwiczenie 4.
174Ćwiczenie 5.
174Ćwiczenie 6.
174Ćwiczenie 15.
176Ćwiczenie 16.
176Zadanie 1.
176Zadanie 2.
176Zadanie 4.
176Zadanie Wprowadzające 1
177Zadanie Wprowadzające 3
178Zadanie Wprowadzające 4
178Ćwiczenie 1.
179Ćwiczenie 2.
179Ćwiczenie 3.
179Ćwiczenie 4.
179Ćwiczenie 5.
179Ćwiczenie 9.
180Ćwiczenie 15.
180Zadanie 17.
180Zadanie 1.
180Zadanie 4.
181Zadanie Wprowadzające 1
182Ćwiczenie 1
183Ćwiczenie 2.
183Ćwiczenie 3.
183Ćwiczenie 4.
184Ćwiczenie 5.
184Ćwiczenie 6.
184Ćwiczenie 11.
185Ćwiczenie 12.
185Zadanie 1.
185Zadanie 3.
185Zadanie Wprowadzające 1
186Zadanie Wprowadzające 2
186Ćwiczenie 2.
187Ćwiczenie 3.
188Ćwiczenie 4.
188Ćwiczenie 5.
188Ćwiczenie Wprowadzające
188Ćwiczenie 6.
189Ćwiczenie 8.
189Ćwiczenie 9.
189Ćwiczenie 10.
190Ćwiczenie 15.
190Ćwiczenie 16.
191Ćwiczenie 17.
191Ćwiczenie 18.
191Zadanie 1.
192Zadanie 2.
192Zadanie 3.
192Zadanie Wprowadzające 1
193Zadanie Wprowadzające 2
193Zadanie Wprowadzające 3
193Zadanie Wprowadzające 4
194Ćwiczenie 1.
194Ćwiczenie Wprowadzające 4
195Ćwiczenie Wprowadzające 5
195Ćwiczenie 7
195Ćwiczenie 8.
196Ćwiczenie 9.
196Ćwiczenie 10.
196Ćwiczenie 11.
196Ćwiczenie 12.
197Ćwiczenie 22.
197Zadanie 23.
197Zadanie 1.
198Zadanie 4.
198Zadanie Wprowadzające 4
201Zadanie Wprowadzające 5
201Ćwiczenie 1
201Ćwiczenie 2.
201Ćwiczenie 3.
202Ćwiczenie 4.
202Ćwiczenie 5.
203Ćwiczenie 6.
203Ćwiczenie 7.
203Ćwiczenie 8.
204Ćwiczenie 9.
204Ćwiczenie 10.
205Ćwiczenie 16.
201Zadanie 1.
206Zadanie 2.
206Ćwiczenie 1.
208Ćwiczenie 2.
208Ćwiczenie 3.
208Ćwiczenie 4.
208Ćwiczenie 5.
208Ćwiczenie 9.
209Zadanie 10.
209Zadanie 11.
209Zadanie Projekt
209Zadanie 1.
211Zadanie 4.
211Ćwiczenie 10.
214Ćwiczenie 11.
214Ćwiczenie 12.
214Ćwiczenie 20.
216Ćwiczenie 21.
216Ćwiczenie 22.
217Ćwiczenie 26.
217Ćwiczenie 27.
217Zadanie 1
218Zadanie 2.
218Zadanie 3.
218Zadanie 6.
219Zadanie 8.
219Zadanie 10.
219