Przeczytaj uważnie treść i oblicz iloraz, a następnie podaj prawdziwą odpowiedź.
Odp.: B.
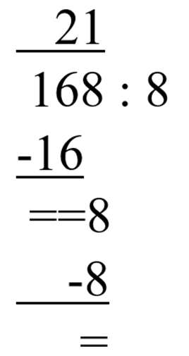
Liczby biorące udział w dzieleniu to dzielna, dzielnik, a wynik dzielenia pisemnego zapisujemy nad dzielną.
Zadanie 1
5Zadanie 2
6Zadanie 3
6Zadanie 5
6Ćwiczenie Co było na lekcji 1
7Zadanie 6
7Zadanie 8
8Zadanie 10
8Zadanie 11
8Ćwiczenie Co było na lekcji 4
9Zadanie 1
11Zadanie 2
12Zadanie 3
12Zadanie 4
13Ćwiczenie Co było na lekcji 1
13Zadanie 6
14Zadanie 7
14Zadanie 8
16Zadanie 9
16Zadanie 10
17Zadanie 1
19Zadanie 2
20Zadanie 3
20Zadanie 6
22Zadanie 8
22Zadanie 9
23Zadanie 2
25Zadanie 3
26Zadanie 4
26Zadanie 5
27Zadanie 6
27Zadanie 9
29Zadanie 10
29Zadanie 1
33Zadanie 2
34Zadanie 3
34Zadanie 5
34Zadanie 6
35Zadanie 8
36Zadanie 10
36Zadanie 12
38Zadanie 13
38Zadanie 14
38Zadanie 15
39Zadanie 1
41Zadanie 2
41Zadanie 3
41Zadanie 4
42Zadanie 5
42Zadanie 6
42Zadanie 7
43Ćwiczenie Co było na lekcji2
43Zadanie 8
44Zadanie 9
44Zadanie 10
44Zadanie 11
45Zadanie 12
46Zadanie 13
46Zadanie 14
46Zadanie 15
47Zadanie 16
47Ćwiczenie Co było na lekcji 7
47Zadanie 2
52Zadanie 3
52Ćwiczenie 2
57Ćwiczenie 3
57