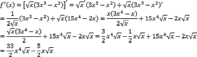
Oblicz pochodną funkcji opisanej równaniem
.
gdzie
Wyznacz pochodną funkcji, korzystając z własności
, gdzie
jest wartością stałą oraz pochodnej sumy i różnicy
, a także pochodnej iloczynu
.
Ćwiczenie wprowadzające1.
227Zadanie 3.
228Zadanie 4.
228Ćwiczenie wprowadzające1.
229Ćwiczenie wprowadzające2.
230Ćwiczenie wprowadzające3.
230Ćwiczenie wprowadzające4.
231Ćwiczenie wprowadzające5.
231Ćwiczenie wprowadzające6.
232Zadanie 1.
232Zadanie 2.
232Zadanie 3.
232Zadanie 4.
232Zadanie 5.
232Ćwiczenie 2.
234Zadanie 1.
234Zadanie 2.
234Ćwiczenie wprowadzające2.
235Ćwiczenie wprowadzające3.
236Ćwiczenie wprowadzające4.
237Ćwiczenie wprowadzające5.
237Ćwiczenie wprowadzające6.
238Zadanie 1.
238Zadanie 2.
238Zadanie 3.
238Ćwiczenie wprowadzające2.
240Ćwiczenie wprowadzające3.
241Ćwiczenie wprowadzające4.
241Ćwiczenie wprowadzające5.
241Ćwiczenie wprowadzające6.
242Ćwiczenie wprowadzające7.
242Zadanie 1.
242Zadanie 2.
242Zadanie 3.
242Zadanie 4.
243Zadanie 5.
243Zadanie 6.
243Zadanie 7.
243Zadanie 8.
243Zadanie 9.
243Ćwiczenie wprowadzające1.
244Ćwiczenie wprowadzające2.
245Ćwiczenie wprowadzające3.
245Zadanie 1.
247Zadanie 2.
247Zadanie 3.
247Zadanie 5.
247Zadanie 6.
247Ćwiczenie wprowadzające1.
248Ćwiczenie wprowadzające3.
249Ćwiczenie wprowadzające4.
250Zadanie 1.
250Zadanie 2.
250Zadanie 3.
250Zadanie 4.
250Zadanie 5.
250Zadanie 6.
250Zadanie 7.
250Ćwiczenie wprowadzające1.
252Ćwiczenie wprowadzające3.
252Ćwiczenie wprowadzające4.
254Zadanie 1.
254Zadanie 2.
254Zadanie 3.
254Zadanie 4.
254Ćwiczenie wprowadzające1.
255Ćwiczenie wprowadzające2.
256Ćwiczenie wprowadzające3.
256Ćwiczenie wprowadzające4.
257Zadanie 1.
257Zadanie 2.
257Zadanie 3.
257Zadanie 4.
257Zadanie 5.
257Zadanie 6.
257Zadanie 7.
257Ćwiczenie wprowadzające1.
258Ćwiczenie wprowadzające2.
258Ćwiczenie wprowadzające3.
258Ćwiczenie wprowadzające4.
258Ćwiczenie wprowadzające5.
258Ćwiczenie wprowadzające6.
258Zadanie 1.
259Zadanie 2.
259Zadanie 3.
260Zadanie 4.
260Zadanie 7.
261Zadanie 8.
261Zadanie 9.
261Zadanie 10.
261Zadanie 11.
261Zadanie 12.
261Ćwiczenie wprowadzające1.
263Ćwiczenie wprowadzające2.
263Ćwiczenie wprowadzające3.
264Zadanie 1.
264Zadanie 2.
264Zadanie 3.
263Zadanie 4.
263Zadanie 5.
263Zadanie 6.
264Zadanie 8.
264Ćwiczenie wprowadzające2.
266Zadanie 4.
267Ćwiczenie wprowadzające2.
270Ćwiczenie wprowadzające3.
271Ćwiczenie wprowadzające4.
271Ćwiczenie wprowadzające5.
271Zadanie 1.
271Zadanie 2.
271Zadanie 3.
271Zadanie 4.
272Zadanie 5.
272Zadanie 6.
272Zadanie 7.
272Zadanie 8.
272Ćwiczenie wprowadzające1.
275Ćwiczenie wprowadzające2.
275Ćwiczenie wprowadzające3.
275Zadanie 1.
276Zadanie 2.
276Zadanie 3.
276Zadanie 4.
276Zadanie 5.
276Zadanie 6.
276Zadanie 7.
276Ćwiczenie wprowadzające1.
277Ćwiczenie wprowadzające2.
278Ćwiczenie wprowadzające3.
278Zadanie 1.
278Zadanie 2.
279Zadanie 3.
279Zadanie 5.
279Zadanie 6.
279Zadanie 7.
279Ćwiczenie wprowadzające1.
280Ćwiczenie wprowadzające2.
280Ćwiczenie wprowadzające3.
281Zadanie 10.
283Ćwiczenie wprowadzające1.
285Ćwiczenie wprowadzające2.
286Zadanie 1.
285Zadanie 2.
286Zadanie 2.
290Zadanie 1.
291Zadanie 2.
291Zadanie 3.
291Zadanie 4.
291Zadanie 5.
291Zadanie 6.
291Zadanie 7.
291Zadanie 8.
291Zadanie 9.
292Zadanie 10.
292Zadanie 11.
292Zadanie 1.
292Zadanie 2.
292Zadanie 3.
292Zadanie 4.
292Zadanie 5.
292Zadanie 6.
293Zadanie 7.
193Zadanie 9.
293Zadanie 10.
293Zadanie 11.
293