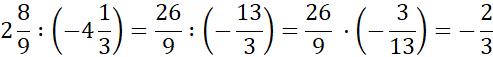
W tym zadaniu musisz wykonać dzielenie i wskazać poprawną odpowiedź.
Odpowiedź: B.
Na początek zapisz liczby mieszane jako ułamki niewłaściwe. Następnie zapisz dzielenie ułamka jako mnożenie liczby odwrotnej. Na koniec wykonaj mnożenie, skracaj ułamki, gdy to możliwe. Pamiętaj, iloczyn liczby dodatnie i ujemnej jest ujemny. Odszukaj swój wynik pośród podanych.
Ćwiczenie 1
151Ćwiczenie 2
152Zadanie 1
152Zadanie 3
152Zadanie 4
152Zadanie 5
152Zadanie 6
152Zadanie Zadanie sprawdzające2
153Ćwiczenie 4
154Zadanie 2
154Zadanie 5
155Zadanie Zadanie sprawdzające2
155Zadanie 2
156Zadanie 3
156Zadanie 6
157Ćwiczenie 5
159Zadanie 2
160Zadanie 3
160Zadanie 4
160Zadanie 5
160Zadanie 6
160Zadanie 7
160Zadanie 8
160Zadanie 9
161Zadanie Zadanie sprawdzające1
161Zadanie Zadanie sprawdzające2
161Zadanie Zadanie sprawdzające3
161Ćwiczenie 3
162Zadanie 1
163Zadanie 2
163Zadanie 3
163Zadanie 4
163Zadanie 6
163Zadanie 7
163Zadanie 9
164Zadanie 10
164Zadanie 11
164Zadanie 12
164Zadanie Zadanie sprawdzające1
164Zadanie Zadanie sprawdzające3
165Zadanie Zadanie sprawdzające4
165Zadanie 1
166Zadanie 2
166Zadanie 5
166Zadanie 6
166Zadanie 12
167Zadanie 13*
167Zadanie Zadanie sprawdzające1
168Zadanie Zadanie sprawdzające3
168Zadanie 6
170Zadanie Zadanie sprawdzające2
170