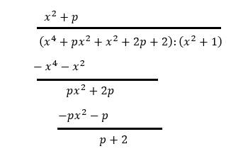
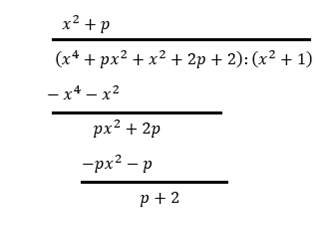
Jaką wartość musi mieć p by wielomian
był podzielny przez
Reszta z dzielenia musi być równa 0:
Zadanie 1.
12Zadanie 2.
13Zadanie 3.
13Zadanie 4.
13Zadanie 5.
14Zadanie 6.
14Zadanie 7.
14Zadanie 8.
14Zadanie 9.
14Zadanie 10.
14Zadanie 11.
15Zadanie 12.
15Zadanie 13.
15Zadanie 14.
15Zadanie 15.
15Zadanie 16.
15Zadanie 17.
16Zadanie 19.
16Zadanie 25.
16Zadanie 27.
17Zadanie 28.
17Zadanie 29.
17Zadanie 30.
17Zadanie 31.
17Zadanie 32.
17Zadanie 33.
18Zadanie 34.
18Zadanie 35.
18Zadanie 36.
18Zadanie 37.
18Zadanie 38.
19Zadanie 39.
19Zadanie 40.
19Zadanie 41.
19Zadanie 42.
19Zadanie 43.
19Zadanie 47.
20Zadanie 48.
20Zadanie 50.
20Zadanie 51.
20Zadanie 52.
20Zadanie 56.
21Zadanie 57.
21Zadanie 58.
21Zadanie 59.
21Zadanie 60.
22Zadanie 61.
22Zadanie 62.
22Zadanie 63.
22Zadanie 68.
23Zadanie 69.
23Zadanie 70.
23Zadanie 71.
23Zadanie 72.
23Zadanie 73.
23Zadanie 74.
24Zadanie 75.
24Zadanie 76.
24Zadanie 78.
24Zadanie 80.
25Zadanie 81.
25Zadanie 82.
25Zadanie 83.
25Zadanie 84.
25Zadanie 86.
25Zadanie 88.
26Zadanie 89.
26Zadanie 90.
26Zadanie 91.
26Zadanie 92.
26Zadanie 93.
27Zadanie 94.
27Zadanie 95.
27Zadanie 96.
27Zadanie 97.
28Zadanie 98.
28Zadanie 99.
28Zadanie 100.
28Zadanie 101.
29Zadanie 102.
29Zadanie 103.
29Zadanie 104.
29Zadanie 106.
29Zadanie 107.
29Zadanie 108.
30Zadanie 109.
30Zadanie 110.
31Zadanie 112.
31Zadanie 113.
31Zadanie 114.
31Zadanie 115.
31Zadanie 116.
32Zadanie 117.
32Zadanie 118.
32Zadanie 119.
32Zadanie 120.
32Zadanie 121.
32Zadanie 125.
33Zadanie 126.
33Zadanie 127.
33Zadanie 128.
34Zadanie 129.
34Zadanie 130.
34Zadanie 131.
34Zadanie 132.
34Zadanie 133.
34Zadanie 134.
34Zadanie 135.
35Zadanie 136.
35Zadanie 137.
35Zadanie 139.
35Zadanie 140.
35Zadanie 141.
35Zadanie 142.
36Zadanie 144.
36Zadanie 146.
36Zadanie 8.
37Zadanie 9.
37Zadanie 11.
38Zadanie 18.
38