Założenie:
Teza:
Dowód:
Dwa trójkąty są przystające:
Dla trójkąta AEF skorzystaj z twierdzenia cosinusów.
c. n. d.
Narysuj rysunek.
W kwadracie ABCD punkty E i F należą odpowiednio do boków DC i BC oraz odcinki AE i AF dzielą kąt BAD na trzy równe kąty:
Trójkąt ABF jest charakterystyczny
Narysuj na rysunku, tak aby powstał trójkąt równoboczny.
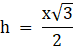
Wyznacz x, skorzystaj ze wzoru na h:
Dwa trójkąty są przystające:
Dla trójkąta AEF skorzystaj z twierdzenia cosinusów.