W tym zadaniu musisz obliczyć długości boków deltoidu.
|BD| = 8
|AC| = 7
Miary kątów w przybliżeniu:
Narysuj rysunek.
Wypisz dane:
|BD| = 8
|AC| = 7
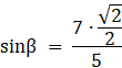
Skorzystaj z twierdzenia sinusów.
Podstaw nasze dane:
Pomnóż na krzyż.
Skorzystaj z tablic.
Suma miar kątów w dowolnym czworokącie jest równa.
Miary kątów w przybliżeniu:
Zadanie 4.1.
63Zadanie 4.2.
63Zadanie 4.6.
64Zadanie 4.8.
64Zadanie 4.9.
64Zadanie 4.10.
64Zadanie 4.14.
65Zadanie 4.15.
65Zadanie 4.16.
65Zadanie 4.21.
66Zadanie 4.22.
66Zadanie 4.23.
66Zadanie 4.24.
66Zadanie 4.25.
66Zadanie 4.27.
66Zadanie 4.29.
67Zadanie 4.30.
67Zadanie 4.32.
67Zadanie 4.36.
68Zadanie 4.38.
68Zadanie 4.40.
68Zadanie 4.44.
69Zadanie 4.49.
69Zadanie 4.50.
69Zadanie 4.56.
70Zadanie 4.58.
70Zadanie 4.60.
70Zadanie 4.62
70Zadanie 4.64.
70Zadanie 4.69.
71Zadanie 4.70.
71Zadanie 4.71.
71Zadanie 4.75.
72Zadanie 4.76.
72Zadanie 4.77.
73Zadanie 4.78.
73Zadanie 4.79.
73Zadanie 4.80.
73Zadanie 4.82.
74Zadanie 4.88.
74