W tym zadaniu musisz obliczyć długości boków prostokąta.
Zrób rysunek.
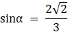
Wypisz dane:
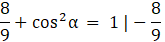
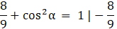
Skorzystaj z jedynki trygonometrycznej:
Kąt jest ostry, czyli cosinus kąta jest dodatni, czyli:
W trójkącie BPC Skorzystaj z twierdzenia cosinusów.
W trójkącie ABC skorzystaj z twierdzenia Pitagorasa.
Zadanie 4.1.
63Zadanie 4.2.
63Zadanie 4.6.
64Zadanie 4.8.
64Zadanie 4.9.
64Zadanie 4.10.
64Zadanie 4.14.
65Zadanie 4.15.
65Zadanie 4.16.
65Zadanie 4.21.
66Zadanie 4.22.
66Zadanie 4.23.
66Zadanie 4.24.
66Zadanie 4.25.
66Zadanie 4.27.
66Zadanie 4.29.
67Zadanie 4.30.
67Zadanie 4.32.
67Zadanie 4.36.
68Zadanie 4.38.
68Zadanie 4.40.
68Zadanie 4.44.
69Zadanie 4.49.
69Zadanie 4.50.
69Zadanie 4.56.
70Zadanie 4.58.
70Zadanie 4.60.
70Zadanie 4.62
70Zadanie 4.64.
70Zadanie 4.69.
71Zadanie 4.70.
71Zadanie 4.71.
71Zadanie 4.75.
72Zadanie 4.76.
72Zadanie 4.77.
73Zadanie 4.78.
73Zadanie 4.79.
73Zadanie 4.80.
73Zadanie 4.82.
74Zadanie 4.88.
74