Narysuj trapez
W trójkącie FBC skorzystaj z twierdzenia Pitagorasa.
W trójkącie ABD skorzystaj z twierdzenia Pitagorasa.
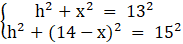
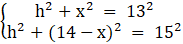
Tworzymy układ równań:
Odejmij od siebie równania.
Policz h:
Dwa trójkąty są podobne:
Wyznacz skalę podobieństwa.
Wyznacz a i b.
Podstaw