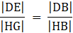
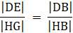
kąt-kąt-kąt - trójkąty DEB i HGB są podobne.
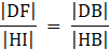
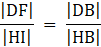
kąt-kąt-kąt - trójkąty DFB i HIB są podobne.
Zwizualizuj dane na rysunku.
Można na podstawie zasady kąt-kąt-kąt zauważyć, że trójkąty DEB i HGB są podobne.
Można na podstawie zasady kąt-kąt-kąt zauważyć, że trójkąty DFB i HIB są podobne.
W związku z tym trójkąt ADE jest trójkątem szczególnym.
Teraz oblicz pole równoległoboku.
Pole można też wyznaczyć z drugiego boku i drugiej wysokości -podstaw więc tam nasze dane i wyznacz drugi bok czworokąta.
Teraz mając wyznaczone wartości obu boków policz obwód.