W tym zadaniu musisz udowodnić, że kąt ostry trapezu ma miarę 60
Założenie:
Teza:
Dowód:
Czyli wszystkie boki w trójkącie AEK są równej długości, czyli trójkąt jest równoboczny. Czyli kąty są równe
Narysuj trapez
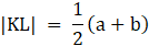
Długość odcinka łączącego środki ramion w trapezie jest równa połowie sumy jego podstaw.
Odcinki są do siebie równoległe, więc czworokąt EBLK jest równoległobokiem, więc:
Wyznacz c.
Czyli wszystkie boki w trójkącie AEK są równej długości, czyli trójkąt jest równoboczny. Czyli kąty są równe
Zadanie 4.1.
63Zadanie 4.2.
63Zadanie 4.6.
64Zadanie 4.8.
64Zadanie 4.9.
64Zadanie 4.10.
64Zadanie 4.14.
65Zadanie 4.15.
65Zadanie 4.16.
65Zadanie 4.21.
66Zadanie 4.22.
66Zadanie 4.23.
66Zadanie 4.24.
66Zadanie 4.25.
66Zadanie 4.27.
66Zadanie 4.29.
67Zadanie 4.30.
67Zadanie 4.32.
67Zadanie 4.36.
68Zadanie 4.38.
68Zadanie 4.40.
68Zadanie 4.44.
69Zadanie 4.49.
69Zadanie 4.50.
69Zadanie 4.56.
70Zadanie 4.58.
70Zadanie 4.60.
70Zadanie 4.62
70Zadanie 4.64.
70Zadanie 4.69.
71Zadanie 4.70.
71Zadanie 4.71.
71Zadanie 4.75.
72Zadanie 4.76.
72Zadanie 4.77.
73Zadanie 4.78.
73Zadanie 4.79.
73Zadanie 4.80.
73Zadanie 4.82.
74Zadanie 4.88.
74