W tym zadaniu musisz obliczyć długość przekątnych trapezu.
Podstaw za
Zrób rysunek.
Wypisz dane:
Wyznacz a, korzystając z twierdzenia Pitagorasa:
Dwa trójkąty są podobne:
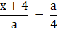
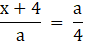
Przyrównaj boki trójkątów do siebie:
Pomnóż na krzyż:
Podstaw za
Dwa trójkąty są podobne:
Przyrównaj boki trójkątów do siebie:
Oblicz długość przekątnych:
Zadanie 4.1.
63Zadanie 4.2.
63Zadanie 4.6.
64Zadanie 4.8.
64Zadanie 4.9.
64Zadanie 4.10.
64Zadanie 4.14.
65Zadanie 4.15.
65Zadanie 4.16.
65Zadanie 4.21.
66Zadanie 4.22.
66Zadanie 4.23.
66Zadanie 4.24.
66Zadanie 4.25.
66Zadanie 4.27.
66Zadanie 4.29.
67Zadanie 4.30.
67Zadanie 4.32.
67Zadanie 4.36.
68Zadanie 4.38.
68Zadanie 4.40.
68Zadanie 4.44.
69Zadanie 4.49.
69Zadanie 4.50.
69Zadanie 4.56.
70Zadanie 4.58.
70Zadanie 4.60.
70Zadanie 4.62
70Zadanie 4.64.
70Zadanie 4.69.
71Zadanie 4.70.
71Zadanie 4.71.
71Zadanie 4.75.
72Zadanie 4.76.
72Zadanie 4.77.
73Zadanie 4.78.
73Zadanie 4.79.
73Zadanie 4.80.
73Zadanie 4.82.
74Zadanie 4.88.
74