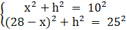
W tym zadaniu musisz wyznaczyć wysokość trapezu.
Narysuj rysunek, zaznacz na nim nasze dane.
W trójkącie ADE, BCF skorzystaj z twierdzenia Pitagorasa.
Odejmij od siebie:
Zadanie 4.1.
63Zadanie 4.2.
63Zadanie 4.6.
64Zadanie 4.8.
64Zadanie 4.9.
64Zadanie 4.10.
64Zadanie 4.14.
65Zadanie 4.15.
65Zadanie 4.16.
65Zadanie 4.21.
66Zadanie 4.22.
66Zadanie 4.23.
66Zadanie 4.24.
66Zadanie 4.25.
66Zadanie 4.27.
66Zadanie 4.29.
67Zadanie 4.30.
67Zadanie 4.32.
67Zadanie 4.36.
68Zadanie 4.38.
68Zadanie 4.40.
68Zadanie 4.44.
69Zadanie 4.49.
69Zadanie 4.50.
69Zadanie 4.56.
70Zadanie 4.58.
70Zadanie 4.60.
70Zadanie 4.62
70Zadanie 4.64.
70Zadanie 4.69.
71Zadanie 4.70.
71Zadanie 4.71.
71Zadanie 4.75.
72Zadanie 4.76.
72Zadanie 4.77.
73Zadanie 4.78.
73Zadanie 4.79.
73Zadanie 4.80.
73Zadanie 4.82.
74Zadanie 4.88.
74