W tym zadaniu musisz wykazać podaną zależność.
Założenie:
Jeden z dwóch sąsiednich boków równoległoboku jest dwa razy dłuższy od drugiego i kąt ostry równoległoboku jest równy
Teza:
Dowód:
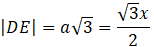
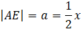
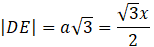
trójkąt AED
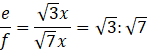
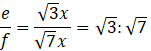
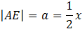
trójkąt EBD
Narysuj równoległobok.
Rozważ trójkąt AED – jest szczególny.
Teraz trójkąt EBD z twierdzenia Pitagorasa.
Oblicz wartość kąta rozwartego.
Teraz z twierdzenia cosinusów oblicz przekątną f.
Zadanie 4.1.
63Zadanie 4.2.
63Zadanie 4.6.
64Zadanie 4.8.
64Zadanie 4.9.
64Zadanie 4.10.
64Zadanie 4.14.
65Zadanie 4.15.
65Zadanie 4.16.
65Zadanie 4.21.
66Zadanie 4.22.
66Zadanie 4.23.
66Zadanie 4.24.
66Zadanie 4.25.
66Zadanie 4.27.
66Zadanie 4.29.
67Zadanie 4.30.
67Zadanie 4.32.
67Zadanie 4.36.
68Zadanie 4.38.
68Zadanie 4.40.
68Zadanie 4.44.
69Zadanie 4.49.
69Zadanie 4.50.
69Zadanie 4.56.
70Zadanie 4.58.
70Zadanie 4.60.
70Zadanie 4.62
70Zadanie 4.64.
70Zadanie 4.69.
71Zadanie 4.70.
71Zadanie 4.71.
71Zadanie 4.75.
72Zadanie 4.76.
72Zadanie 4.77.
73Zadanie 4.78.
73Zadanie 4.79.
73Zadanie 4.80.
73Zadanie 4.82.
74Zadanie 4.88.
74