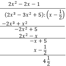
Zadanie

Wykonaj dzielenie wielomianu w przez dwumian q, a następnie zapisz wielomian w w postaci w(x)=p(x)q(x)+r, gdzie r jest resztą z tego dzielenia. w(x)=2x33x2+5,q(x)=x12

Rozwiązanie

Wyjaśnienie

Zadania z tego działu
Powtórzenie dział po dziale
7
1. Liczby rzeczywiste i wyrażenia algebraiczne
8

Zadanie 1.

9

Zadanie 2.

9

Zadanie 3.

9

Zadanie 4.

9

Zadanie 5.

9

Zadanie 6.

9

Zadanie 7.

10

Zadanie 8.

10

Zadanie 9.

10

Zadanie 10.

10

Zadanie 11.

10

Zadanie 12.

10

Zadanie 13.

10

Zadanie 14.

10

Zadanie 16.

10

Zadanie 17.

10

Zadanie 18.

11

Zadanie 19.

11

Zadanie 20.

11

Zadanie 21.

11

Zadanie 22.

11

Zadanie 24.

11

Zadanie 25.

11

Zadanie 28.

11

Zadanie 29.

11

Zadanie 30.

11
2. Funkcje. Funkcja liniowa
17

Zadanie 1.

19

Zadanie 2.

19

Zadanie 3.

19

Zadanie 5.

19

Zadanie 6.

19

Zadanie 7.

19

Zadanie 8.

19

Zadanie 9.

19

Zadanie 10.

20

Zadanie 11.

20

Zadanie 12.

20

Zadanie 13.

20

Zadanie 14.

20

Zadanie 15.

20

Zadanie 16.

20

Zadanie 17.

20

Zadanie 32.

23

Zadanie 34.

23

Zadanie 38.

24
3. Funkcja kwadratowa
25

Zadanie 1.

26

Zadanie 2.

26

Zadanie 3.

26

Zadanie 4.

26

Zadanie 7.

26

Zadanie 8.

26

Zadanie 9.

26

Zadanie 12.

26

Zadanie 13.

27

Zadanie 15.

27

Zadanie 17.

27

Zadanie 18.

27

Zadanie 19.

27

Zadanie 20.

27

Zadanie 21.

27

Zadanie 22.

27
5. Funkcja wymierna
43

Zadanie 1.

43

Zadanie 2.

43

Zadanie 3.

43

Zadanie 4.

44

Zadanie 5.

44

Zadanie 6.

44

Zadanie 7.

44

Zadanie 8.

44

Zadanie 11.

44

Zadanie 12.

44

Zadanie 13.

44

Zadanie 15.

45

Zadanie 16.

45

Zadanie 17.

45

Zadanie 18.

45

Zadanie 22.

45

Zadanie 23.

45

Zadanie 24.

45

Zadanie 25.

46

Zadanie 26.

46

Zadanie 27.

46

Zadanie 28.

46

Zadanie 29.

46

Zadanie 30.

46

Zadanie 31.

46

Zadanie 32.

46

Zadanie 33.

46
6. Funkcja wykładnicza i funkcja logarytmiczna
52

Zadanie 1.

53

Zadanie 4.

53

Zadanie 5.

53

Zadanie 6.

53

Zadanie 7.

53

Zadanie 8.

53

Zadanie 9.

53

Zadanie 10.

53

Zadanie 11.

53

Zadanie 12.

53

Zadanie 15.

54

Zadanie 16.

54

Zadanie 17.

54

Zadanie 18.

54

Zadanie 19.

54

Zadanie 20.

54

Zadanie 21.

54

Zadanie 22.

54

Zadanie 62.

60
7. Trygonometria
61

Zadanie 2.

63

Zadanie 3.

63

Zadanie 5.

63

Zadanie 6.

63

Zadanie 7.

63

Zadanie 8.

63

Zadanie 9.

63

Zadanie 10.

64

Zadanie 11.

64

Zadanie 12.

64

Zadanie 13.

64

Zadanie 14.

64

Zadanie 15.

64

Zadanie 16.

64

Zadanie 17.

64

Zadanie 18.

65

Zadanie 19.

65

Zadanie 20.

65

Zadanie 21.

65

Zadanie 22.

65
8. Ciągi
70

Zadanie 1.

71

Zadanie 2.

71

Zadanie 4.

72

Zadanie 8.

72

Zadanie 9.

72

Zadanie 10.

72

Zadanie 12.

72

Zadanie 13.

72

Zadanie 17.

73

Zadanie 18.

73

Zadanie 19.

73

Zadanie 20.

73

Zadanie 21.

73

Zadanie 23.

73

Zadanie 27.

74

Zadanie 28.

74

Zadanie 29.

74

Zadanie 30.

74

Zadanie 31.

74

Zadanie 32.

74

Zadanie 34.

74

Zadanie 35.

74

Zadanie 89.

81
9. Planimetria
83

Zadanie 3.

85

Zadanie 4.

85

Zadanie 7.

86

Zadanie 8.

86

Zadanie 9.

86

Zadanie 12.

87

Zadanie 15.

87

Zadanie 18.

87
10. Geometria analityczna
97

Zadanie 1.

98

Zadanie 2.

98

Zadanie 3.

98

Zadanie 10.

98

Zadanie 15.

99

Zadanie 16.

99

Zadanie 17.

99

Zadanie 18.

99

Zadanie 19.

99

Zadanie 20.

99

Zadanie 22.

99

Zadanie 23.

99

Zadanie 24.

99

Zadanie 25.

100

Zadanie 26.

100

Zadanie 27.

100

Zadanie 28.

100

Zadanie 32.

100

Zadanie 33.

100

Zadanie 36.

101

Zadanie 74.

105
12. Rachunek różniczkowy
118

Zadanie 1.

119

Zadanie 2.

119

Zadanie 3.

119

Zadanie 4.

120

Zadanie 5.

120

Zadanie 6.

120

Zadanie 7.

120

Zadanie 12.

120

Zadanie 13.

120

Zadanie 14.

120

Zadanie 15.

120

Zadanie 16.

121

Zadanie 17.

121

Zadanie 18.

121

Zadanie 19.

121

Zadanie 20.

121

Zadanie 21.

121

Zadanie 22.

121

Zadanie 23.

121

Zadanie 24.

121

Zadanie 27.

122

Zadanie 28.

122

Zadanie 29.

122

Zadanie 30.

122

Zadanie 34.

122

Zadanie 35.

122

Zadanie 36.

122

Zadanie 42.

123

Zadanie 56.

125

Zadanie 57.

125
13. Rachunek prawdopodobieństwa i statystyka
128

Zadanie 1.

130

Zadanie 2.

130

Zadanie 3.

130

Zadanie 5.

130

Zadanie 8.

130

Zadanie 11.

130

Zadanie 13.

131

Zadanie 14.

131

Zadanie 15.

131

Zadanie 28.

132