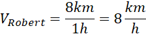
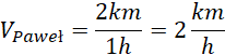
Musisz odpowiedzieć na zadanie pytanie na podstawie wartości odczytanych z wykresu.
Odczytując dystans przebyty po 1 h (o godz. 10:00):
Ćwiczenie 2
255Ćwiczenie 4
255Zadanie 11.1
256Zadanie 11.3
256Zadanie 11.6
256Zadanie 11.8
257Zadanie 11.9
257Ćwiczenie 6
258Ćwiczenie 7
259Ćwiczenie 8
260Ćwiczenie 9
260Ćwiczenie 10
261Zadanie 11.11
261Zadanie 11.12
261Zadanie 11.14
262Zadanie 11.19
262Zadanie 11.20
263Zadanie 11.21
263Ćwiczenie 11
264Ćwiczenie 12
264Ćwiczenie 13
265Ćwiczenie 14
264Ćwiczenie 15
264Ćwiczenie 16
266Zadanie 11.22
267Zadanie 11.23
267Zadanie 11.25
267Zadanie 11.26
267Zadanie 11.27
267Zadanie 11.29
268Zadanie 11.34
268Ćwiczenie 17
269Ćwiczenie 19
270Ćwiczenie 20
270Ćwiczenie 21
271Zadanie 11.36
271Zadanie 11.37
271Zadanie 11.39
272Zadanie 11.40
272Zadanie 11.41
272Zadanie 11.42
272Zadanie 11.45
273Ćwiczenie 25
275Ćwiczenie 26
275Ćwiczenie 27
276Ćwiczenie 28
276Ćwiczenie 29
277Zadanie 11.47
278Zadanie 11.48
278Zadanie 11.51
278Zadanie 11.52
279Zadanie 11.53
279Zadanie 11.54
279Zadanie 11.55
279Ćwiczenie 30
280Ćwiczenie 34
282Zadanie 11.60
283Zadanie 11.61
283Zadanie 11.62
283Zadanie 11.63
284Zadanie 11.64
284Zadanie 11.66
284Zadanie 11.67
284Zadanie 11.68
285Zadanie 6
286Zadanie 8
286