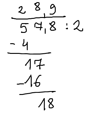
Wykonaj dzielenie pisemne.
5,78 : 0,2 = 57,8 : 2 = 28,9
Przesuń przecinek w prawo o odpowiednią liczbę miejsc i wykonaj dzielenie.
Zadanie 2.
4Zadanie 3.
4Zadanie 4.
4Zadanie 5.
4Zadanie 6.
5Zadanie 8.
5Zadanie 10.
5Zadanie 11.
5Zadanie 12.
6Zadanie 15.
6Zadanie 16.
6Zadanie 18.
7Zadanie 20.
7Zadanie 21.
7Zadanie 25.
8Zadanie 26.
9Zadanie 27.
9Zadanie 1.
9Zadanie 2.
10Zadanie 3.
10Zadanie 4.
10Zadanie 6.
11Zadanie 7.
11Zadanie 8.
11Zadanie 12.
13Zadanie 13.
13Zadanie 14.
13Zadanie 4.
15Zadanie 5.
15Zadanie 6.
15Zadanie 7.
15Zadanie 8.
15Zadanie 9.
16Zadanie 10.
16Zadanie 12.
16Zadanie 13.
16Zadanie 16.
17Zadanie 17.
17Zadanie 18.
17Zadanie 19.
17Zadanie 21.
17Zadanie 22.
18Zadanie 3.
18Zadanie 4.
18Zadanie 5.
19Zadanie 7.
19Zadanie 4.
20Zadanie 1.
20Zadanie 2.
20Zadanie 4.
20Zadanie 5.
21Zadanie 9.
21Zadanie 10.
21Zadanie 11.
22