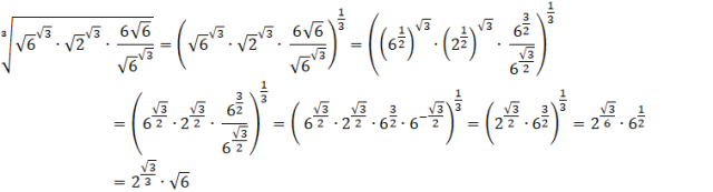
W tym zadaniu musisz obliczyć średnią geometryczną trzech liczb:
,
,
.
,
,
Wzór na średnią geometryczną trzech dodatnich liczb:
. Doprowadź liczby do wspólnej podstawy, a następnie skorzystaj z własności działań na potęgach.
Zadanie 1.
9Zadanie 2.
9Zadanie 3.
9Zadanie 4.
9Zadanie 5.
9Zadanie 6.
9Zadanie 7.
9Zadanie 8.
9Zadanie 9.
10Zadanie 10.
10Zadanie 11.
10Zadanie 12.
10Zadanie 14.
10Zadanie 15.
10Zadanie 16.
11Zadanie 19.
11Zadanie 20.
11Zadanie 21.
11Zadanie 1.
12Zadanie 2.
12Zadanie 3.
12Zadanie 5.
12Zadanie 7.
12Zadanie 8.
13Zadanie 9.
13Zadanie 10.
13Zadanie 11.
13Zadanie 12.
13Zadanie 13.
13Zadanie 14.
14Zadanie 15.
14Zadanie 16.
14Zadanie 17.
14Zadanie 18.
14Zadanie 20.
15Zadanie 21.
15Zadanie 23.
15Zadanie 24.
15Zadanie 25.
15Zadanie 3.
16Zadanie 4.
16Zadanie 5.
16Zadanie 6.
16Zadanie 7.
17Zadanie 8.
17Zadanie 9.
17Zadanie 13.
17Zadanie 14.
18Zadanie 16.
18Zadanie 17.
18Zadanie 18.
18Zadanie 20.
19Zadanie 21.
19Zadanie 22.
19Zadanie 23.
19Zadanie 24.
19Zadanie 25.
19Zadanie 26.
19Zadanie 27.
19Zadanie 28.
19Zadanie 1.
20Zadanie 2.
20Zadanie 3.
20Zadanie 4.
20Zadanie 5.
20Zadanie 7.
21Zadanie 8.
21Zadanie 10.
21Zadanie 11.
21Zadanie 13.
21Zadanie 14.
22Zadanie 17.
22Zadanie 19.
22Zadanie 20.
22Zadanie 21.
23Zadanie 22.
23Zadanie 1.
24Zadanie 2.
24Zadanie 3.
24Zadanie 4.
24Zadanie 5.
24Zadanie 7.
24Zadanie 8.
25Zadanie 9.
25Zadanie 11.
25Zadanie 12.
25Zadanie 16.
26Zadanie 20.
26Zadanie 21.
26Zadanie 22.
26Zadanie 23.
26Zadanie 24.
26Zadanie 1.
27Zadanie 2.
27Zadanie 3.
27Zadanie 4.
27Zadanie 6.
27Zadanie 7.
28Zadanie 8.
28Zadanie 9.
28Zadanie 10.
28Zadanie 12.
29Zadanie 13.
29Zadanie 14.
29Zadanie 15.
29Zadanie 16.
29Zadanie 17.
29Zadanie 18.
29Zadanie 19.
29Zadanie 1.
30Zadanie 2.
30Zadanie 7.
30Zadanie 8.
31Zadanie 9.
31Zadanie 10.
31Zadanie 12.
31Zadanie 17.
32Zadanie 18.
32Zadanie 20.
32Zadanie 22.
32Zadanie 23.
32Zadanie 24.
32Zadanie 25.
32Zadanie 1.
33Zadanie 5.
33Zadanie 6.
33Zadanie 7.
33Zadanie 8.
34Zadanie 9.
34Zadanie 12.
34Zadanie 13.
34Zadanie 14.
35Zadanie 15.
35Zadanie 16.
35Zadanie 17.
35Zadanie 19.
35Zadanie 20.
35Zadanie 21.
35Zadanie 22.
36Zadanie 24.
36Zadanie 25.
36Zadanie 26.
36Zadanie 1.
37Zadanie 2.
37Zadanie 3.
37Zadanie 4.
37Zadanie 6.
37Zadanie 8.
38Zadanie 11.
38Zadanie 12.
38Zadanie 13.
38Zadanie 14.
38Zadanie 15.
38Zadanie 16.
39Zadanie 17.
39Zadanie 18.
39Zadanie 22.
39Zadanie 23.
39Zadanie 25.
39Zadanie 2.
40Zadanie 3.
40Zadanie 4.
40Zadanie 6.
40Zadanie 7.
40Zadanie 8.
41Zadanie 14.
41Zadanie 16.
42Zadanie 17.
42Zadanie 18.
42Zadanie 19.
42Zadanie 21.
42Zadanie 22.
42Zadanie 1.
43Zadanie 2.
43Zadanie 5.
44Zadanie 7.
45Zadanie 13.
46Zadanie 1.
47Zadanie 2.
47Zadanie 3.
47Zadanie 4.
47Zadanie 7.
47Zadanie 8.
48Zadanie 9.
48Zadanie 10.
48Zadanie 11.
48Zadanie 18.
49Zadanie 19.
49Zadanie 20.
49Zadanie 21.
49Zadanie 22.
49Zadanie 25.
50Zadanie 26.
50Zadanie 28.
50Zadanie 29.
50Zadanie 30.
50