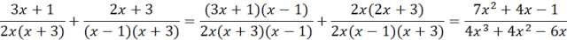
Zadanie

Należy znaleźć dziedzinę podanego w treści zadania wyrażenia algebraicznego, następnie przedstawić je w postaci ilorazu wielomianów, czyli uprościć.

Rozwiązanie

Wyjaśnienie

Zadania z tego działu
Wyrażenia wymierne
12
Wyrażenia wymierne
12

Zadanie 1.

12

Zadanie 2.

12

Zadanie 3.

12

Zadanie 4.

12

Zadanie 5.

12

Zadanie 6.

13

Zadanie 7.

13

Zadanie 8.

13

Zadanie 9.

13

Zadanie 10.

13

Zadanie 11.

14

Zadanie 12.

14

Zadanie 13.

14

Zadanie 14.

14

Zadanie 15.

15

Zadanie 16.

15

Zadanie 17.

15
Równania wymierne
15

Zadanie 19.

15

Zadanie 20.

16

Zadanie 21.

16

Zadanie 22.

16

Zadanie 23.

16

Zadanie 24.

16

Zadanie 25.

16

Zadanie 26.

17

Zadanie 27.

17

Zadanie 28.

17

Zadanie 29.

17

Zadanie 30.

17

Zadanie 31.

17

Zadanie 33.

18

Zadanie 34.

18

Zadanie 39.

18

Zadanie 42.

18
Nierówności wymierne
19

Zadanie 43.

19

Zadanie 44.

19

Zadanie 45.

19

Zadanie 46.

19

Zadanie 47.

19

Zadanie 48.

20

Zadanie 49.

20

Zadanie 50.

20

Zadanie 51.

20

Zadanie 52.

20

Zadanie 53.

21

Zadanie 54.

21

Zadanie 55.

21

Zadanie 56.

21

Zadanie 57.

21

Zadanie 58.

21

Zadanie 59.

21

Zadanie 60.

21
Funkcje wymierne
27

Zadanie 100.

27

Zadanie 101.

27

Zadanie 102.

27

Zadanie 103.

27

Zadanie 104.

277

Zadanie 107.

28

Zadanie 108.

28

Zadanie 109.

28

Zadanie 110.

28

Zadanie 111.

28

Zadanie 112.

28

Zadanie 113.

28

Zadanie 114.

29

Zadanie 115.

29

Zadanie 116.

29

Zadanie 117.

29

Zadanie 118.

30

Zadanie 119.

30

Zadanie 120.

30

Zadanie 121.

30

Zadanie 122.

30

Zadanie 123.

30

Zadanie 125.

31

Zadanie 127.

31