Należy rozwiązać podane w treści równanie najprościej jak się da.
Odp.
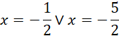
Zapisujemy i rozwiązujemy założenia, następnie przemnażamy, otrzymujemy, równanie typu wyrażenie do kwadratu równa się 4. Zatem musi być, że wyrażenie podnoszone do kwadratu jest równe
Zadanie 1.
12Zadanie 2.
12Zadanie 3.
12Zadanie 4.
12Zadanie 5.
12Zadanie 6.
13Zadanie 7.
13Zadanie 8.
13Zadanie 9.
13Zadanie 10.
13Zadanie 11.
14Zadanie 12.
14Zadanie 13.
14Zadanie 14.
14Zadanie 15.
15Zadanie 16.
15Zadanie 17.
15Zadanie 19.
15Zadanie 20.
16Zadanie 21.
16Zadanie 22.
16Zadanie 23.
16Zadanie 24.
16Zadanie 25.
16Zadanie 26.
17Zadanie 27.
17Zadanie 28.
17Zadanie 29.
17Zadanie 30.
17Zadanie 31.
17Zadanie 33.
18Zadanie 34.
18Zadanie 39.
18Zadanie 42.
18Zadanie 43.
19Zadanie 44.
19Zadanie 45.
19Zadanie 46.
19Zadanie 47.
19Zadanie 48.
20Zadanie 49.
20Zadanie 50.
20Zadanie 51.
20Zadanie 52.
20Zadanie 53.
21Zadanie 54.
21Zadanie 55.
21Zadanie 56.
21Zadanie 57.
21Zadanie 58.
21Zadanie 59.
21Zadanie 60.
21Zadanie 61.
22Zadanie 62.
22Zadanie 63.
22Zadanie 64.
22Zadanie 66.
22Zadanie 67.
23Zadanie 68.
23Zadanie 69.
23Zadanie 71.
23Zadanie 72.
23Zadanie 73.
23Zadanie 76.
24Zadanie 77.
24Zadanie 79.
24Zadanie 80.
24Zadanie 81.
24Zadanie 82.
24Zadanie 84.
25Zadanie 85.
25Zadanie 86.
25Zadanie 87.
25Zadanie 88.
25Zadanie 89.
26Zadanie 90.
26Zadanie 91.
26Zadanie 92.
26Zadanie 93.
26Zadanie 94.
26Zadanie 99.
26Zadanie 100.
27Zadanie 101.
27Zadanie 102.
27Zadanie 103.
27Zadanie 104.
277Zadanie 107.
28Zadanie 108.
28Zadanie 109.
28Zadanie 110.
28Zadanie 111.
28Zadanie 112.
28Zadanie 113.
28Zadanie 114.
29Zadanie 115.
29Zadanie 116.
29Zadanie 117.
29Zadanie 118.
30Zadanie 119.
30Zadanie 120.
30Zadanie 121.
30Zadanie 122.
30Zadanie 123.
30Zadanie 125.
31Zadanie 127.
31Zadanie 18.
34