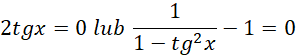
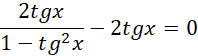
W tym zadaniu musisz rozwiązać równanie tg 2x = 2 tg x.
Skorzystaj ze wzoru:
Zadanie 1.
120Zadanie 2.
121Zadanie 3.
121Zadanie 4.
121Zadanie 5.
121Zadanie 6.
122Zadanie 7.
122Zadanie 8.
122Zadanie 9.
122Zadanie 10.
122Zadanie 11.
122Zadanie 12.
122Zadanie 14.
123Zadanie 15.
123Zadanie 16.
123Zadanie 19.
123Zadanie 20.
123Zadanie 21.
124Zadanie 22.
124Zadanie 24.
124Zadanie 25.
124Zadanie 26.
124Zadanie 27.
124Zadanie 28.
125Zadanie 30.
125Zadanie 31.
125Zadanie 32.
125Zadanie 33.
125Zadanie 34.
126Zadanie 35.
126Zadanie 36.
126Zadanie 37.
126Zadanie 38.
126Zadanie 39.
126Zadanie 40.
127Zadanie 41.
127Zadanie 42.
127Zadanie 43.
127Zadanie 44.
127Zadanie 45.
127Zadanie 46.
127Zadanie 47.
127Zadanie 48.
128Zadanie 49.
128Zadanie 50.
128Zadanie 51.
128Zadanie 52.
128Zadanie 53.
128Zadanie 54.
128Zadanie 55.
129Zadanie 56.
129Zadanie 57.
129Zadanie 58.
129Zadanie 59.
129Zadanie 60.
129Zadanie 62.
130Zadanie 63.
130Zadanie 64.
130Zadanie 65
130Zadanie 66.
130Zadanie 69.
131Zadanie 70.
131Zadanie 71.
131Zadanie 72.
131Zadanie 73.
131Zadanie 74.
131Zadanie 75.
131Zadanie 76.
131Zadanie 77.
131Zadanie 78.
132Zadanie 79.
132Zadanie 83.
132Zadanie 85.
133Zadanie 86.
133Zadanie 87.
133Zadanie 88.
133Zadanie 89.
133Zadanie 91.
133Zadanie 92.
134Zadanie 93.
134Zadanie 94.
134Zadanie 95.
134Zadanie 96.
134Zadanie 97.
134Zadanie 101.
135Zadanie 102.
135Zadanie 103.
135Zadanie 104.
135Zadanie 105.
135Zadanie 106.
135Zadanie 107.
136Zadanie 108.
136Zadanie 109.
136Zadanie 110.
136Zadanie 111.
136Zadanie 112.
136Zadanie 113.
136Zadanie 114.
137Zadanie 116.
137Zadanie 117.
137Zadanie 118.
137Zadanie 119.
137Zadanie 120.
137Zadanie 121.
137Zadanie 122.
138Zadanie 123.
138Zadanie 124.
138Zadanie 125.
138Zadanie 126.
138Zadanie 127.
138Zadanie 128.
138Zadanie 129.
138Zadanie 132.
139Zadanie 140.
140Zadanie 141.
140Zadanie 142.
140Zadanie 144.
140Zadanie 147.
141Zadanie 148.
141Zadanie 149.
141Zadanie 150.
141Zadanie 152.
142Zadanie 153.
142Zadanie 154.
142Zadanie 155.
142Zadanie 156.
142Zadanie 157.
142Zadanie 158.
143Zadanie 159.
143Zadanie 160.
143Zadanie 161.
143Zadanie 162.
143Zadanie 163.
143Zadanie 164.
144Zadanie 166.
144Zadanie 167.
144Zadanie 168.
144Zadanie 169.
144Zadanie 170.
144Zadanie 171.
145Zadanie 172.
145Zadanie 173.
145Zadanie 174.
145Zadanie 175.
145Zadanie 176.
145Zadanie 177.
145Zadanie 178.
146Zadanie 179.
146Zadanie 180.
146Zadanie 182.
147Zadanie 183.
147Zadanie 184.
147Zadanie 185.
147Zadanie 186.
147Zadanie 187.
148Zadanie 188.
148Zadanie 189.
148Zadanie 190.
148Zadanie 191.
148Zadanie 192.
148Zadanie 193.
149Zadanie 194.
149Zadanie 195.
149Zadanie 196.
149Zadanie 197.
149Zadanie 198.
149Zadanie 199.
150Zadanie 200.
150Zadanie 201.
150Zadanie 202.
150Zadanie 203.
150Zadanie 204.
150Zadanie 205.
150Zadanie 206.
150Zadanie 207.
151Zadanie 208.
151Zadanie 209.
151Zadanie 210.
151Zadanie 211.
151Zadanie 212.
147Zadanie 213.
151Zadanie 214.
152Zadanie 215.
152Zadanie 216.
152Zadanie 217.
152Zadanie 218.
152Zadanie 219.
152Zadanie 220.
153Zadanie 222.
153Zadanie 223.
153Zadanie 224.
153Zadanie 225.
153Zadanie 226.
153Zadanie 10.
155Zadanie 11.
155Zadanie 12.
155Zadanie 14.
155Zadanie 15.
155Zadanie 16.
155