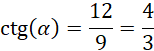
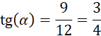
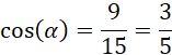
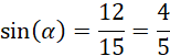
Zadanie

Wyznacz wszystkie funkcje trygonometryczne podanego kąta ostrego w trójkącie prostokątnym.

Rozwiązanie

Wyjaśnienie

Zadania z tego działu
Funkcje trygonometryczne
118
Funkcje trygonometryczne dowolnego kąta
125

Zadanie 30.

125

Zadanie 31.

125

Zadanie 32.

125

Zadanie 33.

125

Zadanie 34.

126

Zadanie 35.

126

Zadanie 36.

126

Zadanie 37.

126

Zadanie 38.

126

Zadanie 39.

126

Zadanie 40.

127

Zadanie 41.

127

Zadanie 42.

127

Zadanie 43.

127

Zadanie 44.

127

Zadanie 45.

127

Zadanie 46.

127

Zadanie 47.

127
Wzory redukcyjne
136

Zadanie 107.

136

Zadanie 108.

136

Zadanie 109.

136

Zadanie 110.

136

Zadanie 111.

136

Zadanie 112.

136

Zadanie 113.

136

Zadanie 114.

137

Zadanie 116.

137

Zadanie 117.

137

Zadanie 118.

137

Zadanie 119.

137

Zadanie 120.

137

Zadanie 121.

137

Zadanie 122.

138

Zadanie 123.

138

Zadanie 124.

138

Zadanie 125.

138

Zadanie 126.

138
Funkcje trygonometryczne zmiennej rzeczywistej
141

Zadanie 149.

141

Zadanie 150.

141

Zadanie 152.

142

Zadanie 153.

142

Zadanie 154.

142

Zadanie 155.

142

Zadanie 156.

142

Zadanie 157.

142

Zadanie 158.

143

Zadanie 159.

143

Zadanie 160.

143

Zadanie 161.

143

Zadanie 162.

143

Zadanie 163.

143

Zadanie 164.

144

Zadanie 166.

144

Zadanie 167.

144

Zadanie 168.

144

Zadanie 169.

144

Zadanie 170.

144
Funkcje o wzorach y = a sin x, y = ax…
145

Zadanie 171.

145

Zadanie 172.

145

Zadanie 173.

145

Zadanie 174.

145

Zadanie 175.

145

Zadanie 176.

145

Zadanie 177.

145

Zadanie 178.

146

Zadanie 179.

146

Zadanie 180.

146

Zadanie 182.

147

Zadanie 183.

147

Zadanie 184.

147

Zadanie 185.

147
Równania i nierówności trygonometryczne
147

Zadanie 186.

147

Zadanie 187.

148

Zadanie 188.

148

Zadanie 189.

148

Zadanie 190.

148

Zadanie 191.

148

Zadanie 192.

148

Zadanie 193.

149

Zadanie 194.

149

Zadanie 195.

149

Zadanie 196.

149

Zadanie 197.

149

Zadanie 198.

149

Zadanie 199.

150

Zadanie 200.

150

Zadanie 201.

150

Zadanie 202.

150

Zadanie 203.

150

Zadanie 204.

150

Zadanie 205.

150

Zadanie 206.

150

Zadanie 207.

151

Zadanie 208.

151

Zadanie 209.

151

Zadanie 210.

151