Musisz obliczyć, jakie pole ma kwadrat, którego przekątna jest o 5 dłuższa od boku.
Przekątna kwadratu o boku a to
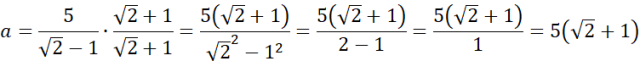
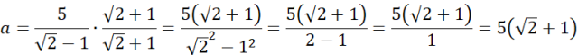
Usuń niewymierność z mianownika korzystając ze wzoru skróconego mnożenia (a - b)(a + b) = a2 – b2
Oblicz pole kwadratu korzystając ze wzoru P = a2. Wykorzystaj również wzór skróconego mnożenia (a - b)2 = a2 - 2ab + b2
Zadanie 1
14Zadanie 4
49Zadanie 6
49Zadanie 8
50Zadanie 9
50Zadanie 10
50Zadanie 13
50Zadanie 16
51Zadanie 18
51Zadanie 19
51Zadanie 20
52Zadanie 21
52Ćwiczenie A
53Zadanie 1
54Zadanie 2
54Zadanie 3
54Zadanie 4
54Zadanie 6
54Zadanie 10
55Ćwiczenie A
58Ćwiczenie D
58Zadanie 1
60Zadanie 2
60Zadanie 5
60Zadanie 9
60Zadanie 10
61Zadanie 12
61Zadanie 15
62Zadanie 19
62Zadanie 20
62Zadanie 22
63Ćwiczenie A
64Ćwiczenie C
67Zadanie 1
69Zadanie 8
70Zadanie 18
71Zadanie 20
71Zadanie 21
71Zadanie 26
72Zadanie D
76Zadanie 1
76Zadanie 3
77Zadanie 11
77Zadanie 14
78Zadanie 17
79Zadanie 19
79