W tym zadaniu oblicz jakiej długości są ramiona tego trójkąta wiedząc, że w trójkącie równoramiennym podstawa ma długość 4, a punkt przecięcia symetralnych boków leży w odległości 3 od podstawy.
Zrób rysunek pomocniczy:
22 + 32 = c2
c2 = 4 + 9 = 13
Symetralna dzieli odcinek na pół i pada na niego pod kątem prostym. Zauważ, że po narysowaniu symetralnych i odcinków łączących wierzchołki trójkąta z punktem przecięcia symetralnych powstały trójkąty prostokątne.
Skorzystaj z twierdzenia Pitagorasa a2 + b2 = c2, gdzie a i b to przyprostokątne, natomiast c to przeciwprostokątna trójkąta prostokątnego.
22 + 32 = c2
c2 = 4 + 9 = 13
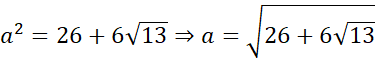
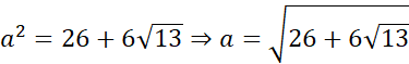
Teraz wyznacz a:
Zadanie 1
14Zadanie 4
49Zadanie 6
49Zadanie 8
50Zadanie 9
50Zadanie 10
50Zadanie 13
50Zadanie 16
51Zadanie 18
51Zadanie 19
51Zadanie 20
52Zadanie 21
52Ćwiczenie A
53Zadanie 1
54Zadanie 2
54Zadanie 3
54Zadanie 4
54Zadanie 6
54Zadanie 10
55Ćwiczenie A
58Ćwiczenie D
58Zadanie 1
60Zadanie 2
60Zadanie 5
60Zadanie 9
60Zadanie 10
61Zadanie 12
61Zadanie 15
62Zadanie 19
62Zadanie 20
62Zadanie 22
63Ćwiczenie A
64Ćwiczenie C
67Zadanie 1
69Zadanie 8
70Zadanie 18
71Zadanie 20
71Zadanie 21
71Zadanie 26
72Zadanie D
76Zadanie 1
76Zadanie 3
77Zadanie 11
77Zadanie 14
78Zadanie 17
79Zadanie 19
79