W tym zadaniu sprawdź czy trójkąt o bokach długości 5, 15,
25 + 225 = 25 ∙ 10
250 = 250 ⇒ trójkąt jest prostokątny
Trójkąt jest prostokątny, gdy spełnia twierdzenie Pitagorasa. Mówi ono, że a2 + b2 = c2, gdzie a i b to przyprostokątne, natomiast c to przeciwprostokątna trójkąta prostokątnego. Sprawdź, czy trójkąt jest prostokątny:
25 + 225 = 25 ∙ 10
250 = 250 ⇒ trójkąt jest prostokątny
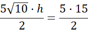
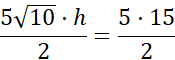
Gdy trójkąt jest przyprostokątny, to jego przyprostokątne są jednocześnie jego wysokościami, więc wysokości te mają długości 5 i 15. Oblicz brakującą wysokość korzystając ze wzoru na pole trójkąta
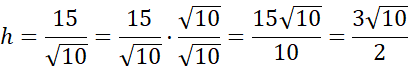
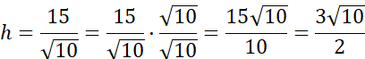
Usuń niewymierność z mianownika:
Zadanie 1
14Zadanie 4
49Zadanie 6
49Zadanie 8
50Zadanie 9
50Zadanie 10
50Zadanie 13
50Zadanie 16
51Zadanie 18
51Zadanie 19
51Zadanie 20
52Zadanie 21
52Ćwiczenie A
53Zadanie 1
54Zadanie 2
54Zadanie 3
54Zadanie 4
54Zadanie 6
54Zadanie 10
55Ćwiczenie A
58Ćwiczenie D
58Zadanie 1
60Zadanie 2
60Zadanie 5
60Zadanie 9
60Zadanie 10
61Zadanie 12
61Zadanie 15
62Zadanie 19
62Zadanie 20
62Zadanie 22
63Ćwiczenie A
64Ćwiczenie C
67Zadanie 1
69Zadanie 8
70Zadanie 18
71Zadanie 20
71Zadanie 21
71Zadanie 26
72Zadanie D
76Zadanie 1
76Zadanie 3
77Zadanie 11
77Zadanie 14
78Zadanie 17
79Zadanie 19
79