W tym zadaniu oblicz długości przekątnych sześciokąta foremnego o boku 6.
Przekątna EB: 2 ∙ 6 = 12
Przekątna EC:
Zauważ, że sześciokąt foremny dzieli się w środku na 6 trójkątów równobocznych. Przekątna EB przechodzi przez 2 podstawy trójkątów równobocznych o boku 6, dlatego można ją obliczyć jako:
2 ∙ 6 = 12
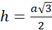
Przekątna EC to dwie wysokości trójkąta równobocznego o boku 6. Wysokość trójkąta równobocznego wyznacz ze wzoru
Zadanie 1
14Zadanie 4
49Zadanie 6
49Zadanie 8
50Zadanie 9
50Zadanie 10
50Zadanie 13
50Zadanie 16
51Zadanie 18
51Zadanie 19
51Zadanie 20
52Zadanie 21
52Ćwiczenie A
53Zadanie 1
54Zadanie 2
54Zadanie 3
54Zadanie 4
54Zadanie 6
54Zadanie 10
55Ćwiczenie A
58Ćwiczenie D
58Zadanie 1
60Zadanie 2
60Zadanie 5
60Zadanie 9
60Zadanie 10
61Zadanie 12
61Zadanie 15
62Zadanie 19
62Zadanie 20
62Zadanie 22
63Ćwiczenie A
64Ćwiczenie C
67Zadanie 1
69Zadanie 8
70Zadanie 18
71Zadanie 20
71Zadanie 21
71Zadanie 26
72Zadanie D
76Zadanie 1
76Zadanie 3
77Zadanie 11
77Zadanie 14
78Zadanie 17
79Zadanie 19
79