W tym zadaniu oblicz pole trójkąta, którego obwód wynosi 18, a wysokość opuszczona na podstawę jest o 1 dłuższa od długości tej podstawy.
Podstawa: a
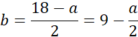
Ramię: b
Wysokość: a + 1
Obwód trójkąta: a + 2b = 18
2b = 18 - a
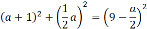
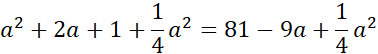
Zapisz twierdzenie Pitagorasa dla trójkąta prostokątnego:
Wysokość: a + 1 = 5 + 1 = x6
Oblicz pole:
Skorzystaj z twierdzenia Pitagorasa: a2+b2=c2, gdzie a i b to przyprostokątne, a c to przeciwprostokątna trójkąta prostokątnego. Wykorzystaj również wzór na pole trójkąta
Zadanie 1
14Zadanie 4
49Zadanie 6
49Zadanie 8
50Zadanie 9
50Zadanie 10
50Zadanie 13
50Zadanie 16
51Zadanie 18
51Zadanie 19
51Zadanie 20
52Zadanie 21
52Ćwiczenie A
53Zadanie 1
54Zadanie 2
54Zadanie 3
54Zadanie 4
54Zadanie 6
54Zadanie 10
55Ćwiczenie A
58Ćwiczenie D
58Zadanie 1
60Zadanie 2
60Zadanie 5
60Zadanie 9
60Zadanie 10
61Zadanie 12
61Zadanie 15
62Zadanie 19
62Zadanie 20
62Zadanie 22
63Ćwiczenie A
64Ćwiczenie C
67Zadanie 1
69Zadanie 8
70Zadanie 18
71Zadanie 20
71Zadanie 21
71Zadanie 26
72Zadanie D
76Zadanie 1
76Zadanie 3
77Zadanie 11
77Zadanie 14
78Zadanie 17
79Zadanie 19
79