W tym zadaniu musisz obliczyć pola figur zaprezentowanych na rysunkach.
Równoległobok:
a = 2 + 4 = 6, h = 4
P = 6 ∙ 4 = 24
Trapez:
Kwadrat:
Równoległobok:
22 + h2 = 42
4 + h2 = 16
h2 = 12
a2 + 12 = 25
a2 = 13
Równoległobok:
Wzór na pole równoległoboku to P = a ∙ h, gdzie a to długość podstawy, a h to wysokość.
a = 2 + 4 = 6, h = 4
P = 6 ∙ 4 = 24
Trapez:
Oznacz górną podstawę jako a. Oblicz z twierdzenia Pitagorasa a2 + b2 = c2, gdzie a i b to przyprostokątne, natomiast c to przeciwprostokątna trójkąta prostokątnego.
Skorzystaj ze wzoru skróconego mnożenia (a - b)2 = a2 – 2ab + b2
Przenieś wyrazy na jedną stronę i uporządkuj.
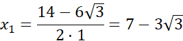
Wyznacz x ze wzoru na deltę:
Oblicz pole trapezu:
Kwadrat:
Przekątna kwadratu to
Wzór na pole kwadratu to P = a2
Równoległobok:
Wzór na pole równoległoboku to P = a ∙ h, gdzie a to długość podstawy, a h to wysokość.
Oblicz wysokość równoległoboku korzystając z twierdzenia Pitagorasa.
22 + h2 = 42
4 + h2 = 16
h2 = 12
Oblicz brakującą część podstawy z twierdzenia Pitagorasa:
a2 + 12 = 25
a2 = 13
Zadanie 1
14Zadanie 4
49Zadanie 6
49Zadanie 8
50Zadanie 9
50Zadanie 10
50Zadanie 13
50Zadanie 16
51Zadanie 18
51Zadanie 19
51Zadanie 20
52Zadanie 21
52Ćwiczenie A
53Zadanie 1
54Zadanie 2
54Zadanie 3
54Zadanie 4
54Zadanie 6
54Zadanie 10
55Ćwiczenie A
58Ćwiczenie D
58Zadanie 1
60Zadanie 2
60Zadanie 5
60Zadanie 9
60Zadanie 10
61Zadanie 12
61Zadanie 15
62Zadanie 19
62Zadanie 20
62Zadanie 22
63Ćwiczenie A
64Ćwiczenie C
67Zadanie 1
69Zadanie 8
70Zadanie 18
71Zadanie 20
71Zadanie 21
71Zadanie 26
72Zadanie D
76Zadanie 1
76Zadanie 3
77Zadanie 11
77Zadanie 14
78Zadanie 17
79Zadanie 19
79