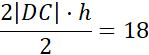
W tym zadaniu oblicz pole trójkąta ABC, wiedząc, że w trójkącie ABC wybrano na boku BC taki punkt D, że |BD|=2|DC|, a pole trójkąta ABD jest równe 18.
Trójkąty ABD i ABC mają taką samą wysokość h.
Zapisz wzór na pole trójkąta ABD:
|BC|=|BD|+|DC|=2|DC|+|DC|=3|DC|
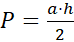
Zapisz wzór na pole trójkąta ABC o podstawie BC i wysokości h:
Skorzystaj ze wzoru na pole trójkąta
Zadanie 1
14Zadanie 4
49Zadanie 6
49Zadanie 8
50Zadanie 9
50Zadanie 10
50Zadanie 13
50Zadanie 16
51Zadanie 18
51Zadanie 19
51Zadanie 20
52Zadanie 21
52Ćwiczenie A
53Zadanie 1
54Zadanie 2
54Zadanie 3
54Zadanie 4
54Zadanie 6
54Zadanie 10
55Ćwiczenie A
58Ćwiczenie D
58Zadanie 1
60Zadanie 2
60Zadanie 5
60Zadanie 9
60Zadanie 10
61Zadanie 12
61Zadanie 15
62Zadanie 19
62Zadanie 20
62Zadanie 22
63Ćwiczenie A
64Ćwiczenie C
67Zadanie 1
69Zadanie 8
70Zadanie 18
71Zadanie 20
71Zadanie 21
71Zadanie 26
72Zadanie D
76Zadanie 1
76Zadanie 3
77Zadanie 11
77Zadanie 14
78Zadanie 17
79Zadanie 19
79