W tym zadaniu oblicz jakie długości mają odcinki, które dzielą przeciwprostokątną trójkąta prostokątnego na trzy odcinki wiedząc, że w tym trójkącie o bokach długości 6, 8, 10 z wierzchołka kąta prostego poprowadzono środkową i dwusieczną tego kąta.
Zrób rysunek pomocniczy:
6(5 + x) = 8(5 - x)
30 + 6x = 40 – 8x / + 8x – 30
14x = 10 / : 14
Powstały odcinki o długościach 5,
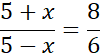
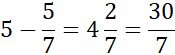
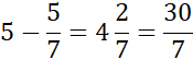
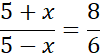
Środkowa trójkąta to odcinek łączący wierzchołek trójkąta ze środkiem przeciwległego boku. Dzieli zatem przeciwprostokątną na dwa odcinki o długości 5. Dwusieczna to odcinek dzielący kąt na pół. Twierdzenie o dwusiecznej mówi, że jeśli w trójkącie ABC dwusieczna kąta o wierzchołku C przecina bok AB w punkcie D, to stosunek |AD| : |BD| jest równy stosunkowi |AC| : |BC|. Możesz zatem zapisać, że:
6(5 + x) = 8(5 - x)
Wymnóż nawiasy:
30 + 6x = 40 – 8x / + 8x – 30
14x = 10 / : 14
Oblicz trzeci odcinek:
Powstały odcinki o długościach 5,
Zadanie 1
14Zadanie 4
49Zadanie 6
49Zadanie 8
50Zadanie 9
50Zadanie 10
50Zadanie 13
50Zadanie 16
51Zadanie 18
51Zadanie 19
51Zadanie 20
52Zadanie 21
52Ćwiczenie A
53Zadanie 1
54Zadanie 2
54Zadanie 3
54Zadanie 4
54Zadanie 6
54Zadanie 10
55Ćwiczenie A
58Ćwiczenie D
58Zadanie 1
60Zadanie 2
60Zadanie 5
60Zadanie 9
60Zadanie 10
61Zadanie 12
61Zadanie 15
62Zadanie 19
62Zadanie 20
62Zadanie 22
63Ćwiczenie A
64Ćwiczenie C
67Zadanie 1
69Zadanie 8
70Zadanie 18
71Zadanie 20
71Zadanie 21
71Zadanie 26
72Zadanie D
76Zadanie 1
76Zadanie 3
77Zadanie 11
77Zadanie 14
78Zadanie 17
79Zadanie 19
79