W tym zadaniu oblicz obwód trójkąta prostokątnego, którego jeden z kątów ma miarę 30˚, a długość jednego z boków jest równa 20.
I) a = 20
2a = 2 ∙ 20 = 40
II) 2a = 20
a = 20 : 2 = 10
III)
Zauważ, że trójkąt o kątach 30˚, 60˚ i 90˚ to połowa trójkąta równobocznego. Wówczas długość boku przy kątach 90˚ i 60˚ ma miarę a, długość przy kątach 60˚ i 30˚ ma miarę 2a, natomiast długość boku przy katach 90˚ i 30˚ ma miarę
I) Rozważ przypadek, gdy bok przy kątach 90˚ i 60˚ ma miarę 20.
a = 20
2a = 2 ∙ 20 = 40
II) Rozważ przypadek, gdy bok przy kątach 30˚ i 60˚ ma miarę 20.
2a = 20
a = 20 : 2 = 10
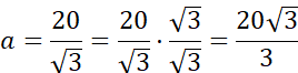
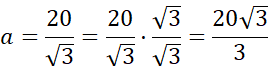
III) Rozważ przypadek, gdy bok przy kątach 90˚ i 30˚ ma miarę 20.
Podziel obie strony przez pierwiastek z trzech i usuń niewymierność z mianownika:
Zadanie 1
14Zadanie 4
49Zadanie 6
49Zadanie 8
50Zadanie 9
50Zadanie 10
50Zadanie 13
50Zadanie 16
51Zadanie 18
51Zadanie 19
51Zadanie 20
52Zadanie 21
52Ćwiczenie A
53Zadanie 1
54Zadanie 2
54Zadanie 3
54Zadanie 4
54Zadanie 6
54Zadanie 10
55Ćwiczenie A
58Ćwiczenie D
58Zadanie 1
60Zadanie 2
60Zadanie 5
60Zadanie 9
60Zadanie 10
61Zadanie 12
61Zadanie 15
62Zadanie 19
62Zadanie 20
62Zadanie 22
63Ćwiczenie A
64Ćwiczenie C
67Zadanie 1
69Zadanie 8
70Zadanie 18
71Zadanie 20
71Zadanie 21
71Zadanie 26
72Zadanie D
76Zadanie 1
76Zadanie 3
77Zadanie 11
77Zadanie 14
78Zadanie 17
79Zadanie 19
79