W tym zadaniu oblicz jaka jest odległość środka ciężkości trójkąta równoramiennego od jego podstawy wiedząc, że w tym trójkącie podstawa ma długość 6, a długość ramion jest równa 9.
9 + h2 = 81 / - 9
h2 = 72
Oblicz wysokość h trójkąta. Skorzystaj z twierdzenia Pitagorasa a2 + b2 = c2, gdzie a i b to przyprostokątne, natomiast c to przeciwprostokątna trójkąta prostokątnego. Przeciwprostokątna to ramię trójkąta równoramiennego, a przyprostokątne to połowa podstawy 0,5a = 0,5 ∙ 6 = 3 oraz wysokość h.
9 + h2 = 81 / - 9
h2 = 72
W każdym trójkącie środkowe przecinają się jednym punkcie zwanym środkiem ciężkości i dzielą się na odcinki w stosunku 1 : 2.
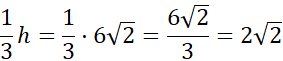
Odległość środka ciężkości od podstawy trójkąta to
Zadanie 1
14Zadanie 4
49Zadanie 6
49Zadanie 8
50Zadanie 9
50Zadanie 10
50Zadanie 13
50Zadanie 16
51Zadanie 18
51Zadanie 19
51Zadanie 20
52Zadanie 21
52Ćwiczenie A
53Zadanie 1
54Zadanie 2
54Zadanie 3
54Zadanie 4
54Zadanie 6
54Zadanie 10
55Ćwiczenie A
58Ćwiczenie D
58Zadanie 1
60Zadanie 2
60Zadanie 5
60Zadanie 9
60Zadanie 10
61Zadanie 12
61Zadanie 15
62Zadanie 19
62Zadanie 20
62Zadanie 22
63Ćwiczenie A
64Ćwiczenie C
67Zadanie 1
69Zadanie 8
70Zadanie 18
71Zadanie 20
71Zadanie 21
71Zadanie 26
72Zadanie D
76Zadanie 1
76Zadanie 3
77Zadanie 11
77Zadanie 14
78Zadanie 17
79Zadanie 19
79