Napisz która z figur ma największe pole oraz które figury mają równe pola wiedząc, że proste przedstawione na poniższym rysunku są równoległe.
Pole pierwsze: P = 4h
Pole drugie:
Pole trzecie:
Pole czwarte:
Największe jest pole drugiej figury. Takie same pola mają pierwsza i czwarta figura.
Pole pierwsze:
Wzór na pole równoległoboku to P = a ∙ h, gdzie a to długość podstawy, a h to wysokość, więc pole wynosi P = 4h
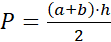
Pole drugie:
Wzór na pole trapezu to
Pole trzecie:
Jest to trapez, dlatego
Pole czwarte:
Wzór na pole rombu to
Największe jest pole drugiej figury. Takie same pola mają pierwsza i czwarta figura.
Zadanie 1
14Zadanie 4
49Zadanie 6
49Zadanie 8
50Zadanie 9
50Zadanie 10
50Zadanie 13
50Zadanie 16
51Zadanie 18
51Zadanie 19
51Zadanie 20
52Zadanie 21
52Ćwiczenie A
53Zadanie 1
54Zadanie 2
54Zadanie 3
54Zadanie 4
54Zadanie 6
54Zadanie 10
55Ćwiczenie A
58Ćwiczenie D
58Zadanie 1
60Zadanie 2
60Zadanie 5
60Zadanie 9
60Zadanie 10
61Zadanie 12
61Zadanie 15
62Zadanie 19
62Zadanie 20
62Zadanie 22
63Ćwiczenie A
64Ćwiczenie C
67Zadanie 1
69Zadanie 8
70Zadanie 18
71Zadanie 20
71Zadanie 21
71Zadanie 26
72Zadanie D
76Zadanie 1
76Zadanie 3
77Zadanie 11
77Zadanie 14
78Zadanie 17
79Zadanie 19
79